Dokumentets metadata

Dokumentets dato:07-05-2024
Offentliggjort:15-10-2024
SKM-nr:SKM2024.514.BR
Journalnr.:BS-15044/2022-KBH
Referencer.:Momsloven
Ligningsloven
Skatteforvaltningsloven
Dokumenttype:Dom


Underleverandører - nægtelse af fradrag for købsmoms og driftsomkostninger - maskeret udbytte - ekstraordinær genoptagelse

Sagen angik, om H1 havde ret til fradrag for købsmoms og driftsudgifter i 2011-2014 i henhold til 34 fakturaer udstedt af en hævdet underleverandør, jf. momslovens § 37, stk. 1, og statsskattelovens § 6, stk. 1, litra a. Sagen angik desuden, om selskabets kapitalejere med rette var blevet beskattet af maskeret udbytte af beløbene angivet på de 34 fakturaer, jf. ligningslovens § 16 A, stk. 1. Endelig angik sagen, om skattemyndighederne med rette havde ekstraordinært genoptaget sagsøgernes skatteansættelse og H1's momstilsvar, jf. skatteforvaltningslovens § 27, stk. 1, nr. 5 og stk. 2 henholdsvis § 32, stk. 1, nr. 3 og stk. 2.

Retten fandt efter en samlet vurdering, at der forelå en række usædvanlige omstændigheder i forholdet mellem H1 og den hævdede underleverandør. Retten lagde særlig vægt på en række forskellige forhold og fandt efter en samlet vurdering, at H1 ikke havde løftet bevisbyrden for, at det omtvistede arbejde var udført af den hævdede underleverandør.

Retten fandt herefter, at som konsekvens af bevisresultatet i forhold til de 34 fakturaer, var det udgangspunktet, at H1's betalinger af fakturaerne skulle beskattes som maskeret udbytte til kapitalejerne. Retten fandt i den forbindelse, at kapitalejerne ikke alene ved deres forklaringer havde godtgjort, at betalingerne ikke var tilgået dem eller sket i deres interesse.

Videre fandt retten, at som følge af omstændighederne omkring betalingen af de 34 fakturaer, samt at kapitalejerne også var direktører i H1, havde sagsøgerne mindst udvist grov uagtsomhed, hvorfor betingelserne for ekstraordinær genoptagelse efter skatteforvaltningslovens § 27, stk. 1, nr. 5 og § 32, stk. 1, nr. 3, er opfyldt. Endelig fandt retten, at SKAT havde overholdt reaktionsfristen, jf. skatteforvaltningslovens § 27, stk. 2 og § 32, stk. 2.


Appelliste17-0028709, 17-0028741, 17-0028750, 17-0028793

Sag BS-15044/2022-KBH

Parter

H1

(v/ advokat Anders Lindqvist)

og

A

(v/ advokat Anders Lindqvist)

og

B

(v/ advokat Anders Lindqvist)

og

C

(v/ advokat Anders Lindqvist)

mod

Skatteministeriet

(advokat Robert Thomas Andersen

v/ advokatfuldmægtig Daniel Rosenthal Plon)

Denne afgørelse er truffet af dommer Inge de Neergaard.

Retten har modtaget sagen den 20. april 2022.

Sagens baggrund og parternes påstande

Sagen drejer sig om, hvorvidt H1 har ret til dels fradrag for købsmoms vedrørende 34 fakturaer udstedt af G1-virksomhed i perioden fra den 1. november 2011 til den 31. marts 2014, dels skattemæssigt fradrag for driftsomkostninger i indkomstårene 2011-2014 vedrørende de samme fakturaer.

Sagen drejer sig endvidere om, hvorvidt B, A og C er skattepligtige af maskeret udbytte.

Sagsøgerne har nedlagt følgende påstand:

Ad H1

Skatteministeriet skal anerkende, at H1's skattepligtige indkomst for 2011, 2012, 2013 og 2014 nedsættes med henholdsvis 225.475 kr., 978.000 kr., 616.000 kr. og 165.000 kr., samt at H1's momstilsvar for perioden november 2011 til marts 2014 nedsættes med 496.119 kr.

Subsidiært nedlægges påstand om, at ansættelsen af H1's skattepligtige indkomst for årene 2012 - 2014 samt ansættelsen af H1's momstilsvar for perioden november 2011 til marts 2014 hjemvises til fornyet behandling ved skattemyndighederne.

Ad A

Skatteministeriet skal anerkende, at A's aktieindkomst for årene 2012, 2013 og 2014 nedsættes med henholdsvis 273.368 kr., 181.500 kr. og 41.250 kr.

Subsidiært nedlægges påstand om, at ansættelsen af A's aktieindkomst for årene 2012 - 2014 hjemvises til fornyet behandling ved skattemyndighederne.

Ad B

Skatteministeriet skal anerkende, at B's aktieindkomst for årene 2012, 2013 og 2014 nedsættes med henholdsvis 546.738 kr., 363.000 kr. og 82.500 kr.

Subsidiært nedlægges påstand om, at ansættelsen af B's aktieindkomst for årene 2012 - 2014 hjemvises til fornyet behandling ved skattemyndighederne.

Ad C

Skatteministeriet skal anerkende, at C's aktieindkomst for årene 2012, 2013 og 2014 nedsættes med henholdsvis 546.738 kr., 363.000 kr. og 82.500 kr.

Subsidiært nedlægges påstand om, at ansættelsen af C's aktieindkomst for årene 2012 - 2014 hjemvises til fornyet behandling ved skattemyndighederne.

Skatteministeriet har nedlagt påstand om frifindelse.

Dommen indeholder ikke en fuldstændig sagsfremstilling, jf. retsplejelovens § 218 a.

Oplysningerne i sagen

Af Landsskatterettens afgørelse af 20. januar 2022 om H1's fradrag for udgifter til fremmed arbejde fremgår:

"… Møde mv.

Der har været afholdt møde mellem selskabets repræsentant og Skatteankestyrelsens sagsbehandler. Selskabets repræsentant har endvidere udtalt sig overfor Landsskatteretten på et retsmøde.

Faktiske oplysninger

H1, herefter selskabet, blev stiftet den (red.dato.nr.1.fjernet). Selskabet er registreret under branchekode (red.branchekode.nr.1.fjernet), og selskabets formål er at drive virksomhed inden for (red.formål.nr.1.fjernet). Selskabet har forskellige binavne, herunder (red.binavn.nr.1.fjernet), (red.binavn.nr.2.fjernet) samt (red.binavn.nr.3.fjernet).

Selskabet blev stiftet af C, herefter C. Indtil den 24. november 2015 sad C i direktionen sammen med B, herefter B, og underdirektør A, herefter A.

C fratrådte direktionen og stoppede i selskabet den 24. november 2015.

Selskabet har i de påklagede indkomstår haft mellem 50 - 199 ansatte. Ejerforholdet i selskabet i den påklagede periode var således, at A ejede 20 % af selskabet gennem G2-virksomhed, cvr-nr. ...11, hvori han var den ultimative ejer. B ejede 40 % gennem G3-virksomhed, cvr-nr. ...12, hvori han var den ultimative ejer. C ejede ligeledes 40 % af selskabet gennem G4-virksomhed, cvr-nr. ...13, hvori han var den ultimative ejer.

Ifølge SKAT's afgørelse, er selskabets angivelsesperiode kalendermåneden. Selskabet har i afgiftsperioden 1. november 2011 - 31. marts 2014 angivet moms som følger:

Momsperiode

Angivet indgående afgift

Angivet momstilsvar

November 2011

1.610.675,00 kr.

522.268,00 kr.

December 2011

953.048,00 kr.

1.793.896,00 kr.

Marts 2012

488.833,00 kr.

824.130,00 kr.

April 2012

627.375,00 kr.

447.485,00 kr.

Maj 2012

629.705,00 kr.

978.823,00 kr.

Juli 2012

945.345,00 kr.

379.729,00 kr.

September 2012

1.108.513,00 kr.

467.804,00 kr.

November 2012

1.117.754,00 kr.

1.155.340,00 kr.

December 2012

894.150,00 kr.

853.462,00 kr.

Marts 2013

722.549,00 kr.

34.308,00 kr.

April 2013

1.014.220,00 kr.

717.824,00 kr.

September 2013

1.418.459,00 kr.

71.053,00 kr.

Oktober 2013

1.302.724,00 kr.

1.390.687,00 kr.

November 2013

1.582.086,00 kr.

8.218,00 kr.

Marts 2014

-231.809,00 kr.

756.703,00 kr.

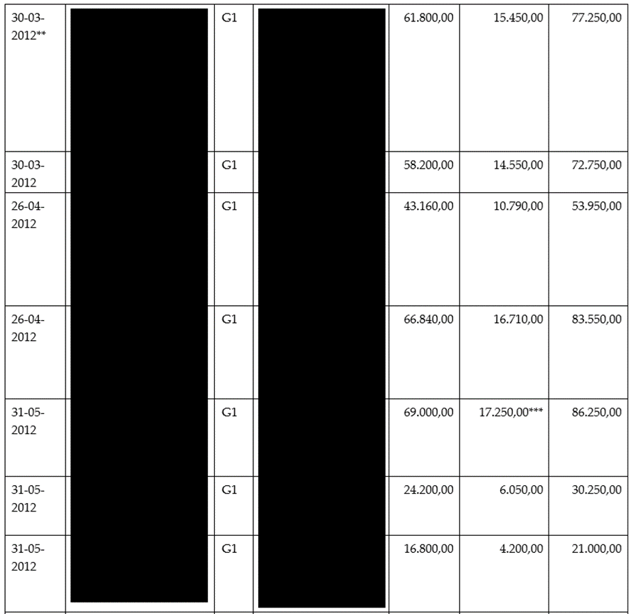
SKAT har i afgiftsperioden november 2011 - marts 2014 nægtet selskabet fradrag for købsmoms for i alt 496.119 kr. for udgifter til underleverandøren G1-virksomhed, herefter G1.

Der er nægtet fradrag for købsmoms for følgende fakturaer:

*Der er noteret en anden dato i SKAT's afgørelse.

** Det er ikke muligt at se datoen, da en påklistret post-it er scannet ind over.

Datoen er fundet ved at sammenligne beløbene med SKAT's afgørelse.

*** Det er ikke muligt at se afgiftsbeløbet, da en påklistret post-it er scannet ind over. Afgiftsbeløbet er fundet ved at sammenligne dato, fakturanummer og øvrige beløb med SKAT's afgørelse.

SKAT har påpeget, at flere af disse fakturaer er udstedt den samme dato, og at det samlede beløb i flere tilfælde udgør 137.500 kr. inkl. moms på disse dage. På fakturanr. (red.faktura.nr.1.fjernet), udstedt den 16. april 2013, er der faktureret 137.500 kr.

Ved nogle af de fakturaer, som er udstedt samme dag, udgør det samlede beløb 137.500 kr. Dette gælder blandt andet for 2012, fakturanr. (red.faktura.nr.2.fjernet) og (red.faktura.nr.3.fjernet), udstedt den 26. april 2012, fakturanr. (red.faktura.nr.4.fjernet), (red.faktura.nr.5.fjernet) og (red.faktura.nr.6.fjernet), udstedt den 31. maj 2021, fakturanr. (red.faktura.nr.7.fjernet) og (red.faktura.nr.8.fjernet), udstedt den 26. juli 2012, fakturanr. (red.faktura.nr.9.fjernet) og (red.faktura.nr.10.fjernet), udstedt den 6. september 2012, fakturanr. (red.faktura.nr.11.fjernet) og (red.faktura.nr.12.fjernet), udstedt den 1. november 2012, samt fakturanr. (red.faktura.nr.13.fjernet) og (red.faktura.nr.14.fjernet), udstedt den 27. december 2012.

For 2013 ses det også, at nogle af de samlede fakturabeløb for fakturaer, som er udstedt samme dag, giver 137.500 kr. Dette gælder blandt andet fakturanr. (red.faktura.nr.15.fjernet), (red.faktura.nr.16.fjernet) og (red.faktura.nr.17.fjernet), udstedt den 22. marts 2013, fakturanr. (red.faktura.nr.18.fjernet), (red.faktura.nr.19.fjernet) og (red.faktura.nr.20.fjernet), udstedt den 28. november 2011.

SKAT har nægtet fradrag for ovenstående fakturaer, idet de er overført til kontonummer X1-bankkonto, som er kontonummeret tilhørende den daværende direktør i G1's private konto.

SKAT har godkendt fradrag for andre fakturaer, som er udstedt af G1. Disse fakturaer er indbetalt til G1's almindelige konto, og SKAT har lagt til grund, at der er sket levering mod vederlag i henhold til nedenstående fakturaer.

SKAT har godkendt fradrag for købsmoms for følgende fakturaer:

G1-virksomhed, cvr-nr. ...14

G1 blev stiftet den (red.dato.nr.2.fjernet) og er registreret under branchekode (red.branchekode.nr.2.fjernet). G1's formål er (red.formål.nr.2.fjernet). G1 har tidligere været et aktieselskab, men blev den 21. december 2018 omdannet til et anpartsselskab.

G1 blev stiftet af IA, herefter IA, som også var direktør. Den 3. juni 2015 fratrådte IA som direktør og IC, herefter IC, indtrådte.

G1 har i de omhandlede indkomstår været registreret med 5-19 ansatte. Der er ikke indgået skriftlige aftaler vedrørende underleverancer mellem selskabet og G1, idet der kun har været tale om mundtlige aftaler mellem selskabet og IA. Der foreligger heller ikke timesedler eller anden lignende dokumentation.

IA indgav den 8. juli 2015 en selvanmeldelse til Københavns Politi, hvori han oplyste, at han havde udstedt fiktive fakturaer via G1. SKAT modtog kopi af selvanmeldelsen den 1. september 2015. Beløbene for de fiktive fakturaer var indsat på IA's private konto i F1-bank, kontonummer X1-bankkonto. IA oplyste i sin selvanmeldelse, at faktureringen ikke vedrørte ydelser som G1 havde foretaget.

IA har endvidere forklaret, at han skrev sit private kontonummer på en gul post-it og satte på den fiktive faktura. Ved politiafhøring den 30. september 2015 oplyste IA, at han var nære bekendte med ejerne af de virksomheder, som han udstedte fiktive fakturaer til. Endvidere oplyste han, at ejerne var bekendt med, at beløbene blev overført til hans private konto og ikke til G1's konto.

Selskabets direktør B blev den 2. november 2015 afhørt af Københavns Politi vedrørende de afviste fakturaer. B oplyste, at G1 varetog "arme og ben" opgaver for selskabet. Dette kunne for eksempel være at nedtage radiatorer og opsætning af disse, bære rør og afløbsrør op. B oplyste, at G1 ofte blev brugt til mindre opgaver.

B oplyste, at han havde mødt IA et par gange, men afviste at have en privat relation til ham. B kunne ikke afvise, at C kendte IA privat, idet C kendte mange personer på Y1-by.

SKAT modtog IA's selvanmeldelse den 1. september 2015. I løbet af efteråret 2015 undersøgte SKAT forholdene i G1 nærmere.

Den 2. november 2015 blev B afhørt af politiet om selskabets anvendelse af G1 som underleverandør. Politiet indstillede den 10. november 2015 deres efterforskning.

SKAT afholdt den 16. marts 2016 et møde med G1. G1 fastholdt under mødet med SKAT, at de afviste fakturaer var fiktive.

Den 12. april 2016 modtog SKAT politiets afhøringsrapporter, herunder også afhøringen af B.

SKAT foretog kontrolbesøg i selskabet den 26. april 2016. Kontrollen blev afsluttet den 27. april 2017. Forud for kontrollen anmodede SKAT selskabet om følgende oplysninger for vurderingen af sagen:

1. Skriftlige aftaler, ordrebekræftelser, tilbud, arbejdssedler, mails, SMS-korrespondancer eller andet, som kunne dokumentere, at leverancerne med G1 havde fundet sted vedrørende de afviste fakturaer.

Såfremt selskabet ikke lå inde med sådanne informationer, anmodede SKAT om:

2. Oplysninger om navne på de medarbejdere fra selskabet, som havde været til stede på arbejdspladsen under arbejdets udførelse. Herunder oplysninger om de tilsynsførende medarbejdere.

3. Oplysninger om hvordan fakturaerne er tilgået selskabet samt navnene på de personer i selskabet, som har modtaget fakturaerne fra G1.

4. Oplysninger om hvem i selskabet, som har godkendt de pågældende fakturaer til betalingen samt grundlaget for betalingen.

5. Oplysninger om kendskab eller navne på de medarbejdere fra G1, som har leveret det arbejde, som fremgår af fakturaerne samt datoer og adresser for udførelsen af arbejdet.

SKAT fik svar på disse anmodninger på sit kontrolbesøg den 26. - 27. april 2016.

Den 13. maj 2016 udsendte SKAT et brev vedrørende kontrollens gennemførelse til selskabet. Af dette fremgår:

"Der blev på mødet ikke udleveret oplysninger vedrørende ovenstående punkt 1, da virksomheden ikke havde noget konkret på skrift eller lignende herom. Det blev oplyst, at dette skyldtes, at alt vedrørende de afviste fakturaer blev aftalt mundligt hovedsageligt med IA fra G1-virksomhed, men muligvis også en der hed IE. Det blev oplyst, at det var meget almindeligt, at aftaler blev indgået mundligt inden for branchen.

Vedrørende punkt 2, blev der til SKAT udleveret en liste med navne på byggeledere og formænd for de enkelte byggesager. Aftalerne med G1-virksomhed kunne være indgået af både C, B, A eller formændene på sagerne. Det var ikke muligt konkret at oplyse, hvem der havde indgået de enkelte aftaler. Det var dog primært C, der kendte IA fra G1-virksomhed.

Vedrørende punkt 3, blev det oplyst, at langt hovedparten af de afviste fakturaer var afleveret personligt til enten kontoret eller til direktionsmedlemmerne i H1 af IA. Det blev oplyst, at IA ikke var digital. Enkelte fakturaer kunne også være afleveret i postkassen af IA, da han kom forbi i ny og næ og havde kontor tæt på H1. De øvrige fakturaer som ikke var afvist af G1-virksomhed var normalt sendt pr. post /mail.

Vedrørende punkt 4, blev det oplyst, at alle fakturaer skulle attesteres inden betalingen måtte ske.

Betalingen stod bogholderen for. Der blev præciseret, at der ikke måtte ske betaling inden attestation. Attestation var sket af enten C, B og A (direktionen). Omkring betalingerne heraf blev det oplyst, at IA fra G1-virksomhed havde rykket for hurtig betaling af de pågældende fakturaer, hvilket var årsag til at betaling var sket så hurtigt (i mange tilfælde samme dag som udstedelsesdatoen). C eller andre i direktionen godkendte således fakturaen forud for betalingen ved at give instruks til bogholderiet herom, f.eks. fremgår C's underskrift af faktura (red.faktura.nr.26.fjernet) som eksempel herpå. Der er på fakturaerne påsat en post-it mærkat, hvorpå der er anført et andet betalings kontonr. end det, der fremgår af brevlogoet på fakturaerne. Post-it mærkaten er ikke lavet eller påsat af H1, men har været på fakturaen ved modtagelsen.

Vedrørende punkt 5 blev det oplyst, at virksomheden ikke har kendskab til navne eller identifikationsoplysninger på de personer, der har arbejdet for G1-virksomhed i forbindelse med de pågældende sager. Dette er generelt også i forhold til øvrige virksomheder som H1 benytter som underentreprenører, at de ikke kender underleverandørernes ansatte. Det var ikke muligt at få oplyse en konkret dato, hvor arbejdet var udført, idet arbejdet blev udført løbende over tid, og at der var tale om en fast pris. Der kunne muligvis ud fra oversigten over tidsforløbet i hvert enkelt sag skønnes et tidsinterval, hvor det fakturerede kunne henføres til, med det var ikke muligt at anvise konkrete datoer for hvornår arbejdet på de afviste fakturaer var udført.

Om det arbejde som G1-virksomhed ifølge de afviste fakturaer skulle have udført fremgår, at der bl.a. er faktureret for nedrivning, bortkørsel, udlægning af jernnet til støbning, nedtagning, demontering, kørsel med mureraffald. G1-virksomhed har oplyst overfor SKAT, at de slet ikke udfører den type opgaver. Hertil blev det oplyst af B, at det er korrekt, at der ikke er lavet nedbrydningsarbejde, demontering eller kørt affald bort i flyttebiler, da medarbejderne fra G1-virksomhed alene kom efter aftale helt uden værktøj og kun udførte flytning af det på fakturaerne anførte (f.eks. vand- og afløbsrør, varmvandsbeholdere, vinduer og døre ect). Når der på fakturaerne stod bortkørsel var der reelt tale om, at affaldet blot var smidt i en container, der i forvejen stod på byggepladsen, og som var bestilt og betalt af H1. G1-virksomhed har således ikke kørt med byggeaffald. Aftalerne med G1-virksomhed blev lavet mundligt enten som timeregninger eller entreprisebeløb (fast pris). B oplyste, at de ikke havde noget på skrift vedrørende de aftalte priser omkring det leverede arbejde. Det var en tillidssag. De afviste fakturaer var alle fastpris aftaler (i modsætning til de ikke afviste fakturaer).

Der var til brug for kontrollens gennemførsel fremfundet sagsmapper på sagerne som blev stillet til rådighed for SKAT ved gennemsyn af sagerne. SKAT havde ikke selvstændig mulighed for at finde bilag i bogholderiet, idet dette ikke var muligt, da der ikke på de til SKAT udleverede sagslister over fremmed arbejde var anført bilagsnummer på udskrifterne, ligesom bilagene var arkiveret under det bilagsnr. hvor betaling var sket. Bilagene blev dog i stedet fremfundet med assistance fra bogholderiet.

SKAT gennemgik sagsmapperne på følgende sagsnr.

11013, 11019, 11020, 11024, 12009, 12010, 12011, 12012, 12016, 12029, 13001, 13009, 13013, 13015, (red.projekt.nr.1.fjernet).

Af materiale fra sagsmapperne fremgår beboerinformation mv., hvoraf bl.a. fremgår, at når der sker renovering, sker det på den måde, at der tages en opgang ad gangen. Lejerne bor stadig i lejlighederne mens renoveringen står på. Det fremgår også af materialet, hvorledes håndværkerne skal aflevere lejligheden ved dagens afslutning.

SKAT har under kontrollen forespurgt virksomheden om dennes brug af andre "arme-ben" virksomheder, men der er ikke over for SKAT nævnt andre end G1-virksomhed. Der blev anvendt et vikarbureau, der fakturerer pr. timebasis, men der er efter det oplyste primært tale om faglærte vikarer som f.eks. murer eller tømrer. Ifølge kreditorudtog vedrørende G1-virksomhed fremgår, at fakturaerne fra G1-virksomhed nærmest ophører fra marts måned 2014. SKAT har ikke kendskab til at arme-ben ydelser derefter skulle være varetaget af nogen anden underentreprenører. SKAT er heller ikke i forbindelse med kontrollen bekendt med andre kreditorer i H1, der generelt har fået deres fakturaer betalt på faktureringsdatoen.

Kontrollen heraf blev afrundet med en kort mundlig tilbagemelding til B og A. Det blev meddelt, at det var SKAT's foreløbige vurdering, efter gennemgang af sagsmapperne mv., at der ikke var fundet dokumentation i sagsmapperne, der underbyggede, at arbejdet anført på de afviste fakturaer havde været udført af G1-virksomhed. Der blev bl.a. drøftet 2 fakturaer vedrørende projekt (red.projekt.nr.1.fjernet), der var udstedt samme dag og betalt samtidig. Det blev forklaret, at der var tale om, at den ene faktura var for arbejde der var udført og den anden for noget arbejde der skulle udføres senere, hvor der havde været noget uenighed omkring betalingen med IA, da H1 mente, at fakturaerne var lidt for store. SKAT bemærkede hertil, at der var tale om en større mængde arbejde ( i alt 206.250 kr.), der syntes faktureret unormal i forløbet. SKAT bemærkede, at der under kontrollen blev konstateret, at H1 ofte ses at indhente tilbud fra andre firmaer, hvor udgiften var betydelig mindre end G1-virksomhed. Dette blev forklaret med, at udgiften til G1-virksomhed var køb af arbejde som erstatning for egne folk.

H1 oplyste, at de også i dag havde igangværende arbejde, hvor de brugte G1-virksomhed. SKAT fik udleveret kopi af disse fakturaer vedrørende arbejde udført på Y2-adresser (11 fakturaer fra 17.6.2015-13.11.2015 på i alt 49.865 kr. inkl. moms ) og Y3-adresse (5 fakturaer fra 14.1.2016 - 15.3.2016 på i alt ca. 33.388 kr. inkl. moms). Disse fakturaer er i modsætning til de afviste alle udspecificeret med hensyn til timer, dato, leveringsadresse, ligesom fakturabeløbene er væsentligt mindre. Omkring betaling af de afviste fakturaer blev det oplyst over for virksomheden, at det ansås for usædvanligt, at betalingen af forskellige fakturaer i gentagne tilfælde udgjorde det samme beløb f.eks. 137.500 kr. eller 206.250 kr. H1 havde ingen kommentar hertil.

Det blev afslutningsvis oplyst fra SKAT, at det ud fra en foreløbig samlet vurdering af kontrollen og sagens omstændigheder herunder iagttagelsen af en række unormale omstændigheder i forhold til både fakturaernes indhold, datering, betalingerne m.v., at de omtvistede fakturaer på grundlag af en konkret vurdering måtte forventes at blive tilsidesat. Forespurgt herom blev det oplyst, at en tilsidesættelse af fakturaerne som konsekvens ville medfører varsling af ændring af moms og skatteansættelserne, hvor der i den forbindelse vil blive foretaget høring, hvor nærmere begrundelse herfor vil fremgå, ligesom virksomheden vil få mulighed for at fremkomme med yderligere oplysninger til sagen.

Der blev fra virksomhedens side udtrykt tilfredshed med kontrolforløbet og kontrollens gennemførsel."

Klagerens repræsentant har i juli 2016 rettet henvendelse til enkelte af selskabets pladsformænd, som på forespørgsel af repræsentanten, har bekræftet, at der er udført arbejde fra G1. Som dokumentation for drøftelserne med pladsformændene, har repræsentanten indsendt et notat, hvoraf pladsformændenes forklaring er gengivet.

IA blev den 7. februar 2018 ved en tilståelsessag idømt fængsel på 2 år for skatte- og momssvig af særlig grov karakter for at have undladt at selvangive skattepligtig indkomst samt for at have drevet momspligtig virksomhed uden registrering.

SKAT's afgørelse

SKAT har forhøjet selskabets momstilsvar med i alt 496.119 kr. for afgiftsperioden november 2011 - marts 2014, idet SKAT har nægtet fradrag for købsmoms for udgifter til G1.

SKAT har som begrundelse for afgørelsen anført følgende:

"(…)

Varsling vedrørende ændring af moms for perioden fra og med maj 2013 til og med marts 2014 sker i medfør af de ordinære fristregler i skatteforvaltningsloven § 31 stk. 1 (Lovbekendtgørelse 2015-11-12 nr. 1267), hvoraf fremgår, at Told- og skatteforvaltningen ikke kan afsende varsel om fastsættelse eller ændring af afgiftstilsvar senere end 3 år efter angivelsesfristens udløb. Angivelsesfristen for maj måned 2013 var således d. 25.6.2013, hvorfor varsling af ændring af moms for maj 2013 senest skal være sket d. 25.6.2016. SKAT sendte ændringsforslag d. 8.6.2016. Fastsættelsen af afgiftstilsvaret skal foretages senest 3 måneder efter udløbet af fristen i § 31, 1. punktum, hvilket vil sige, at ændringen af f.eks. september måned 2013 (angivelsesfrist d. 25.10.2013) senest skal være varslet d. 25.10.2016 og fastsættelsen senest skal være foretaget d. 25.1.2017.

Ændringen af momstilsvar for perioden fra og med november måned 2011 til og med april måned 2013 ændres i henhold til de ekstraordinære regler i skatteforvaltningslovens § 32 stk. 1 nr. 3, jf. § 32 stk. 2. Dette begrundes med, at I forsætligt eller groft uagtsomt har afgivet urigtige momsangivelse, ved at have gjort brug af fakturaer fra G1-virksomhed, uden at der reelt er sket levering fra G1-virksomhed af de på fakturaerne anførte ydelser.

Af § 32 stk. 1 nr. 3 fremgår, at:

uanset fristerne i § 31 kan et afgiftstilsvar eller en godtgørelse af afgift fastsættes eller ændres efter anmodning fra den afgiftspligtige henholdsvis den godtgørelsesberettigede eller efter told- og skatteforvaltningens bestemmelse, hvis: 3) Den afgiftspligtige henholdsvis den godtgørelsesberettigede eller nogen på dennes vegne forsætligt eller groft uagtsomt har bevirket, at afgiftstilsvaret eller godtgørelsen er fastsat på et urigtigt eller ufuldstændigt grundlag.

Det fremgår af skatteforvaltningsloven § 32 stk. 2, at en ændring af afgiftstilsvaret eller godtgørelsen af afgift kun kan foretages efter stk. 1, hvis den varsles af told- og skatteforvaltningen eller anmodningen fra den afgiftspligtige henholdsvis den godtgørelsesberettigede fremsættes senest 6 måneder efter, at told- og skatteforvaltningen henholdsvis den afgiftspligtige eller den godtgørelsesberettigede er kommet til kundskab om det forhold, der begrunder fravigelsen af fristerne i § 31. En ændring af afgiftstilsvar eller godtgørelse af afgift, der er varslet af told- og skatteforvaltningen, skal foretages senest 3 måneder efter den dag, hvor varsling er afsendt. Har det betydning for den afgiftspligtiges henholdsvis den godtgørelsesberettigedes mulighed for at varetage sine interesser, at fristen efter 2. pkt. forlænges, skal en anmodning om en rimelig fristforlængelse imødekommes. Told- og skatteforvaltningen kan behandle en anmodning om genoptagelse, der er modtaget efter udløbet af fristen i 1. pkt., hvis særlige omstændigheder taler derfor.

SKAT kan oplyse, at 6 måneders fristen i § 32 stk. 2 i nærværende sag tidligst anses for værende d. 27.4.2016, hvor SKAT var på kontrol i virksomheden.

Der er d. 4.8.2016 anmodet om udsættelse af ansættelsesfristen i sagen til d. 31.10.2016 i henhold til skatteforvaltningslovens § 32 stk. 2, 3. punkt vedrørende momsperioderne fra november måned 2011 til og med april måned 2013, hvilket SKAT har imødekommet.

Som det fremgår af sagens punkt 1, har SKAT ikke fundet grundlag for, at der har været realiteter bag de pågældende fakturaer, hvor G1-virksomhed til SKAT har oplyst, at der er tale om fiktive fakturaer. SKAT har undersøgt forholdet ved G1-virksomhed og H1 og har ikke ved kontrol fundet omstændigheder, der kan bekræfte leverancernes realitet.

Som det fremgår af SKAT's begrundelse under punkt 1.4 har SKAT særlig lagt vægt på,

• at SKAT ved kontrolbesøg i H1 ikke blev bekendt med oplysninger, der kunne bekræfte leverancernes realitet. H1 har heller ikke selv været i stand til at fremkomme med konkrete oplysninger, der underbygger, at der har været realiteter bag de afviste fakturaer fra G1-virksomhed.

• at de fiktive fakturaer er uspecificerede, mens de godkendte fakturaer fra G1-virksomhed er specificeret på enheder, datoer m.v. og typisk udgør betydeligt mindre beløb.

• at betaling af de fiktive fakturaer tilnærmelsesvis sker med faste beløb omkring 137.500 kr. uagtet, at der ifølge fakturaerne er tale om ydelser på forskellige projekter eller flere fakturaer.

• at betaling af fakturaerne i næsten alle tilfælde sker samtidig eller i tilknytning til fakturaens udstedelse eller modtagelse, hvilket er meget usædvanligt i forhold til, hvornår H1 normalt betaler fakturaer.

• at det må anses for usædvanligt, at betaling af fakturaerne sker til et kontonr. som løsligt er påskrevet en gul post-it mærkat, uden forinden at have sikret sig at betaling kan ske med frigørende virkning dertil, da det er åbenlyst, at kontonummeret er forskelligt i forhold til det kontonummer, som er fortrykt på fakturalogoet og som H1 normalt betaler til.

• at betalingerne hos modtager IA i det væsentligste anses for hævet i kontanter umiddelbart efter at pengene er indbetalt.

• at der også er konstateret lige artede atypiske betalingsmønstre for så vidt angår øvrige udstedte fakturaer af IA til andre virksomheder end H1, hvor IA på samme vis har oplyst, at disse fakturaer også er fiktive.

• at det i øvrigt må anses for både ulogisk og meget usædvanligt, at G1-virksomhed både i forhold til H1 og en række øvrige virksomheder alle beliggende på Y1-by på forhånd skulle påstå, at fakturaer i så stort et omfang uden grund skulle være fiktive. SKAT bemærker samtidig, at H1 forsætter med at indkøbe ydelser fra G1-virksomhed også efter, at politiet har gjort H1 bekendt med påstanden om de fiktive fakturaer.

Herudover er der under punkt 1.4 anført en række øvrige oplysninger som ud fra en samlet vurdering har medført, at SKAT i øvrigt anser de afviste fakturaer for uden realitet.

Det fremgår af retspraksis på området, at der påhviler køber skærpede krav til dokumentationen for momsfradrag ved unormale forhold, jf. bl.a SKM 2009.325 ØLR. Af § 82 i momsbekendtgørelsen fremgår, at virksomheder til dokumentation for indgående afgift skal kunne fremlægge en faktura. Kravene til en fakturas indhold fremgår af momsbekendtgørelse § 58 nr. 1-9 (tidligere § 40 og § 61). Af momsbekendtgørelsens § 58 nr. 5 og 6 fremgår, at fakturaer skal indeholde oplysninger om omfanget og arten af de leverede ydelser samt oplysninger om, hvornår ydelserne er leveret eller afsluttet. Da H1 allerede under SKAT's kontrol erkendte, at flere af de på fakturaerne anførte arbejdsydelser ikke reelt var blevet udført af G1-virksomhed må fakturaerne anses for ikke at opfylde kravene i momsbekendtgørelsens § 58 nr. 5 vedrørende beskrivelsen af mængden, arten og omfanget af de leverede ydelser. Fakturaerne indeholder generelt heller ingen oplysninger omkring dato for leverings- eller afslutningstidspunkt, hvorved momsbekendtgørelsens § 58 stk. 6 heller ikke anses for opfyldt. Momsfradrag kan således ikke godkendes, da fakturakravene ikke anses for opfyldt. Der henvises til EU-dommen C271/12 Petroma Transports, hvoraf fremgår, at bestemmelserne i sjette direktiv skal fortolkes således, at de ikke er til hinder for en national lovgivning i henhold til hvilken afgiftspligtige aftagere af tjenesteydelser, der er i besiddelse af ufuldstændige fakturaer, kan nægtes retten til fradrag for moms, selv om disse fakturaer, efter at en sådan afgørelse om nægtelse er blevet truffet, suppleres ved fremlæggelse af oplysninger, som har til formål at bevise de fakturerede transaktioners faktiske gennemførelse, deres art og beløbet herfor. Det fremgår også af samme dom samt af EU-dommene C-642/11 Stroy trans og C-643/11 LVK-56 EOOD, at det forhold, at der nægtes en køber fradragsret for købsmoms ikke bevirker, at der ikke kan pålægges sælger at betale moms.

EU-dommen af 31.1.2013 benævnt C-643/11 LVK-56 EOOD, omhandler bl.a. princippet om afgiftsneutralitet, ret til fradrag, moms anført på fakturaen, forfald, spørgsmålet om en afgiftspligtig transaktion har fundet sted, ens bedømmelse med hensyn til udstederen af fakturaen og dens modtager. I sagen blev der givet afslag på ret til fradrag af moms med den begrundelse, at det ikke var godtgjort, at de indgående transaktioner reelt havde fundet sted.

Der kan henvises til SKM2016.27 ØLR, hvor skatteyder ligeledes blev nægtet momsfradrag af fakturaer fra underleverandør, da det ikke var dokumenteret, at der var sket levering, ligesom fakturaerne heller ikke opfyldte fakturakravene, i den daværende momsbekendtgørelse § 40, stk. 5 og 6 i dag momsbekendtgørelsens § 58 nr. 5 og 6.

Da SKAT anser fakturaerne i nærværende sag for fiktive og dermed ikke er udtryk for faktiske leverancer nægtes momsfradrag, da betingelserne for fradrag ikke er opfyldt, jf. retspraksis samt momslovens § 37.

Den for meget fratrukne købsmoms i perioden fra november 2011 til marts 2014 efteropkræves således med i alt 496.119 kr., jf. opkrævningslovens § 5 stk. 1, hvoraf fremgår, at hvis det konstateres, at en virksomhed har afgivet urigtig angivelse eller indberetning af beløb omfattet af § 2, stk. 1, 4. pkt., således at virksomheden har betalt for lidt i skatter eller afgifter m.v. eller har fået udbetalt for meget i godtgørelse, afkræves virksomheden det skyldige beløb til betaling senest 14 dage efter påkrav.

2.5 SKAT's endelige afgørelse

Selskabets bemærkninger til SKAT's ændringsforslag af 8.6.2016 har ikke givet anledning til ændringer. Selskabets momstilsvar ændres herefter i henhold til ændringsforslaget, jf. SKAT's bemærkninger og begrundelse herfor under punkt 2.4.

(…)"

SKAT har den 2. februar 2017 fremsendt følgende høringssvar til klagen:

"(…)

Klagers repræsentant har oplyst, at de afviste fakturaer og betalinger dækker over faktiske leverancer til H1. SKAT har ikke som oplyst i klagen gennemtrawlet samtlige fakturaer fra alle øvrige entreprenører, men har udtaget stikprøver og gennemgået sagsmapper med henblik på at konstaterer, om der i H1 var bilag eller andet der kunne be- eller afkræfte, hvorvidt leverancerne havde fundet sted. Der blev ikke fundet bilag, der underbyggede, at der var sket levering i forhold til de afviste fakturaer fra G1-virksomhed.

Det fremgår af oplysningerne i sagen, at politiet til SKAT har oplyst, at det i sagen er påstand mod påstand. Politiets efterforskning har således ikke som oplyst i klagen vist eller konkluderet noget om, hvor vidt fakturaerne dækker over faktiske leveringer. Den omstændighed, at IA efterfølgende til politirapport ikke har vedstået sig selvanmeldelsen og forklaret, at der er sket levering, skal ses i lyset af, at han samtidig også oplyser i politirapporten, at han ikke kunne bo på Y1-by, såfremt han forklarede sig anderledes.

I klagen oplyses, at der på intet tidspunkt er afgivet divergerende forklaringer fra klagers side.

SKAT er ikke enig heri, jf. beskrivelsen side 7 i sagsfremstillingen, hvor selskabets direktør på mødet med SKAT d. 26.4.2016 bl.a. forklarer, at G1-virksomhed ikke havde lavet nedbrydningsarbejde, demontering eller kørt med byggeaffald i flyttebilerne til trods for, at dette stod på fakturaerne, da medarbejderne fra G1-virksomhed alene ankom helt uden værktøj og kun udførte flytning af det på fakturaerne anførte materiel (se mødereferat vedrørende SKAT's resultat af kontrollen). Efter SKAT's fremsendelse af ændringsforslag afholdtes der et møde mellem SKAT og selskabets repræsentant, hvor repræsentanten oplyste, at det nu fastholdes, at der var sket levering af alle de arbejdsydelser, der fremgik af de afviste fakturaer (se mødereferat af 21.09.2016).

Det er heller ikke korrekt, når der i klagen anføres, at SKAT har lagt vægt på en redegørelse fra G1-virksomhed af 18.5.2016 fremfor andre oplysninger i sagen. Når G1-virksomhed d. 18.5.2016 har sendt SKAT en redegørelse om egne interne forhold m.v. er det sket til brug for virksomhedens egen skattesag, og ikke som led i SKAT's kontrol af H1. Tværtimod har SKAT fra start gjort H1 bekendt med anledningen og grundlaget for kontrollen d. 26.4.2016 herunder, at G1-virksomhed havde fastholdt ikke at have leveret de pågældende leverancer til H1. De oplysninger som SKAT særligt har lagt vægt på fremgår i øvrigt af afgørelsen afsnit 1.4 og 2.4 samt sagens bilag, som er sendt til klager.

(…)"

Skattestyrelsen er i udtalelse af 8. juni 2021 fremkommet med følgende bemærkninger til Skatteankestyrelsens indstilling:

"(…)

Skattestyrelsen er enig i Skatteankestyrelsens forslag til afgørelse, der indstiller den påklagede afgørelse stadfæstet.

Klagesagen vedrører nægtet momsfradrag for en række fakturaer udstedt til klager fra G1-virksomhed (G1), hvor nægtet momsfradrag samlet udgør i alt 496.119 kr.

Det er fortsat Skattestyrelsens opfattelse, at klager ikke har dokumenteret eller tilstrækkeligt sandsynliggjort, at der i forbindelse med de ikke-godkendte fakturaer er sket levering af ydelser til klager.

Som der er redegjort for i den påklagede afgørelse og i Skatteankestyrelsens forslag til afgørelse, adskiller de afviste fakturaer fra G1 sig på en række punkter fra godkendte fakturaer fra G1 og betalt til G1's kontonummer. De afviste fakturaer har bl.a. kun sparsomme oplysninger om det udførte arbejde, fakturerede beløb afviger væsentligt fra godkendte fakturaer, flere fakturaer er udstedt samme dag og betaling sker til G1's daværende direktørs private kontonummer (påført fakturaerne med håndskrift eller post-it).

Skattestyrelsen fastholder derfor, som også indstillet af Skatteankestyrelsen, at klager ikke alene ved fremlæggelsen af fakturaerne har godtgjort, at betingelserne for momsfradrag efter momslovens § 37, stk. 1 er opfyldt. Det er således ikke godtgjort, at der er leveret fradragsberettigede ydelser til klager.

Klager må anses for at have handlet mindst groft uagtsomt ved at have foretaget momsfradrag iht. fakturaer fra G1, hvor der ikke reelt er sket levering af fakturerede ydelser. Derfor har det været berettiget at genoptage afgiftsperioderne november 2011 til april 2013 efter reglerne om ekstraordinær genoptagelse i skatteforvaltningslovens § 32, stk. 1, nr. 3.

(…)"

Klagerens opfattelse

Selskabets repræsentant har fremsat påstand om, at der godkendes fradrag for købsmoms for udgifter til underleverandøren G1, for i alt 496.119 kr. i afgiftsperioden november 2011 - marts 2014.

Til støtte for sin påstand har repræsentanten anført følgende:

"(…)

Det tidligere anførte over for SKAT fastholdes i sin helhed.

IA har, modsat det af SKAT anførte, bekræftet både over for Politiet og over for undertegnede, at fakturaerne dækker over reelt udført arbejde, og at der har været folk fra G1-virksomhed til stede på de forskellige entrepriser.

Det skete blot ikke i regi af G1-virksomhed, idet han omdirigerede betalingerne til sin egen private konto.

Udgangspunktet er således et strafbart forhold begået af IA for egen vindings skyld.

Jeg medgiver, at det i den forbindelse var et smart træk, at han, da jorden begyndte at brænde under ham, foretog en selvanmeldelse for at redde sin hustru og G1-virksomhed. Et selskab, han ifølge de gængse forlydender fortsat selv reelt ejer og driver.

SKAT har anerkendt, at G1-virksomhed har udført en lang række opgaver for H1 på andre entrepriseprojekter.

SKAT er blevet opfordret til at kontakte de enkelte pladsformænd på de sites, hvor de bestrides, at G1-virksomhed har været til stede, men det har man ikke ønsket.

SKAT har gennemtrawlet samtlige fakturaer fra alle øvrige entreprenører på de omstridte projekter uden at finde en eneste anden leverandør, som i stedet skulle have udført det af G1-virksomhed fakturerede.

Den eneste, som hævder, at der ikke har været folk fra G1-virksomhed til stede på projekterne, er IC.

SKAT angiver hertil, at det er" .. meget usandsynligt, at en virksomhed ikke vil vedstå sig leve- ringen af en så stor mængde arbejdsydelser som fremgår af fakturaerne i de tilfælde, at levering var sket som påstået af H1." (side 18)

Nej. Det kræver ikke megen fantasi at forstå bevæggrundene herfor, når konsekvensen heraf alternativt var, at G1-virksomhed og IC havde fået nærværende skattesag.

Det er SKAT's opfattelse, at "IA har udskrevet fakturaerne efter aftale med H1 alene med henblik på svig..". (side 18). Denne beskyldning burde man nok have undgået i forlængelse af, at Politiets efterforskning har vist, at hverken klager eller de øvrige virksomheder, IA angav at have faktureret og modtaget betaling fra, har medvirket til IA's gerninger.

Der er på intet tidspunkt afgivet divergerende forklaringer fra klagers side. Det beskrevne i fakturaerne fra G1-virksomhed er efter parternes møde den 26. april 2015 blevet udtrykkeligt bekræftet ved henvendelse til de enkelte pladsformænd, hvilket blev meddelt SKAT, jf. det fremsendte notat. SKAT har videre anført det som inkriminerende, at H1 fortsatte samarbejdet med G1-virksomhed, efter sagen kom frem. Men det er politiet, der efter afhøring af B opfordrede denne til at fortsætte samarbejdet, da det ifølge den afhørende politiassistent 'jo ikke skulle gå ud over IC, at IA havde begået noget kriminelt'.

Det var først, da det siden kom frem, at IC på vegne af G1-virksomhed undsagde det udførte arbejde for H1, at samarbejdet blev indstillet.

Jeg skal på ny gentage opfordringen til, at man fra SKAT's side fremlægger al den korrespondance, man har haft med G1-virksomhed og IC.

Videre skal jeg gentage opfordringen til, at man fra SKAT's side fremlægger den korrespondance og andre oplysninger, der indgår i de øvrige sager vedrørende andre virksomheder og virksomhedsejere i forlængelse af IA's selvanmeldelse (evt. anonymiseret).

Disse oplysninger er refereret i afgørelserne, uden deres præcise ordlyd kendes, men indgår og lægges desuagtet til grund flere steder i SKAT's afgørelse.

IC er citeret for på G1-virksomhed's vegne af have afgivet en skriftlig redegørelse til sagen, modtaget af SKAT den 18. maj 2016, hvis omstændigheder eller ordlyd ikke kendes. I SKAT's begrundelse er det sågar anført, at der lægges vægt på denne redegørelse frem for andre oplysninger i sagen (side 20). Uden at klager har modtaget eller haft mulighed for at kommentere på indholdet af redegørelsen.

SKAT har refereret de 2 andre virksomhedsejere, som har betalt tilsvarende fakturaer fra G1-virksomhed, for at have bekræftet, at der også i deres sager er sket levering. Men heller ikke denne ordlyd eller omstændighed kendes, og oplysningerne bliver uden yderligere begrundelse affejet af SKAT.

SKAT's afgørelser ses i hovedsagen/udelukkende truffet på baggrund af oplysninger fra IC, som man ikke har forelagt klagerne. Oplysninger, som er- eller kan være meddelt i åbenbar egen interesse. Afgørelserne bør allerede af denne grund ophæves eller opgøres.

For god ordens skyld bemærkes, at ingen af klagerne har udvist forsæt eller grov uagtsomhed ved betalingen af fakturaerne fra G1-virksomhed, der fastholdes som dækkende over reelt leverede ydelser, jf. Politiets vurdering og samtlige andre forklaringer end IC's.

(…)"

Selskabets repræsentant har den 16. februar 2017 fremsendt følgende bemærkninger til SKAT's høringssvar af 2. februar 2017.

"(…)

De af SKAT fremsendte indlæg af 2. februar i år giver mig alene anledning til at fastholde det anførte i min klageskrivelse af 4. januar i år.

Det bekræftes således i SKAT's indlæg, at de af IC og IA afgivne oplysninger, der siden er lagt til grund af SKAT i nærværende sag, er afgivet for at undgå en egen skattesag.

SKAT har intet foretaget sig for at kontrollere oplysningernes korrekthed, herunder kontaktet de mange folk (formænd), der gik på pladserne og alle har kunnet bekræfte det massive fremmøde af folk fra G1-virksomhed.

Jeg skal gentage begæringen om, at SKAT fremlægger al korrespondance, man har haft med G1-virksomhed og IC, som kan relateres til nærværende sag, samt al korrespondance og andre oplysninger, der indgår i de øvrige sager vedrørende andre virksomheder og virksomhedsejere i forlængelse af IA's selvanmeldelse. Korrespondancen må i fornødent omfang anonymiseres, men mine klienter har krav på at se, hvad der reelt er lagt til grund for SKAT's afgørelse, og ikke kun SKAT's eget interne referat af disse oplysninger.

(…)"

Selskabets repræsentant er i udtalelse af 19. juni 2021 fremkommet med følgende bemærkninger til Skattestyrelsens udtalelse og Skatteankestyrelsens indstilling:

"(…)

Det fremgår af SKAT's bilag 6 (presseklip), at IA var tilknyttet G5-virksomhed som sportschef og som sponsor.

Af SKAT's redegørelser fremgår, at IA har hævet ca. 85 pct. af de samlede beløb i kontanter.

Det må betyde, at der fra G5-virksomhed kan indhentes oplysninger om, hvad IA i perioden officielt har sponsoreret klubben med af midler, ligesom det må være muligt for SKAT at oplyse, hvad de sidste 15 pct. af overførslerne, som ikke er blevet hævet i kontanter, er anvendt til.

Det er alt relevant, eftersom det gøres gældende, at de omstridte udbetalinger ikke har passeret kapitalejernes privatøkonomi eller i øvrigt er anvendt af IA i kapitalejernes interesse.

Som flere gange tidligere anført er mine klienter ikke fodboldinteresserede. Ville de støtte G5-virksomhed, var der blevet indgået en normal og fuldt fradragsberettiget reklame/sponsoraftale.

For så vidt det ikke allerede er sket, skal jeg derfor høfligst anmode SKAT foranledige det nævnte undersøgt.

Jeg skal videre anmode om at modtage dokumentation for anvendelsen af de overførte midler i øvrigt, dvs. en udskrift fra IA's konto nr. X1-bankkonto for hele den relevante periode.

(…)"

Retsmøde i Landsskatteretten

På retsmødet fremsatte repræsentanten påstand om, at selskabet for den påklagede periode havde ret til fradrag for de afviste fakturaer og gennemgik sine anbringender i overensstemmelse med de skriftlige indlæg.

Repræsentanten lagde særligt vægt på, at han havde indhentet forklaringer fra pladsformænd, som havde bekræftet, at G1 havde leveret ydelser. Repræsentanten anførte herefter, at pladsformændenes forklaring dokumenterede, at der var leveret ydelser, særligt vedrørende fakturanr. (red.faktura.nr.4.fjernet), udstedt den 31. maj 2012, samt fakturanr. (red.faktura.nr.21.fjernet) og (red.faktura.nr.22.fjernet), begge udstedt den 7. marts 2014. Repræsentanten henviste til sit notat af 28. september 2016, hvori han har nedskrevet pladsformændenes forklaringer.

Skattestyrelsen indstillede i overensstemmelse med tidligere udtalelser, at afgørelsen stadfæstes.

Landsskatterettens afgørelse

Der skal tages stilling til, om det er med rette, at SKAT har nægtet selskabet fradrag for købsmoms for udgifter til underleverandøren G1. Af momslovens § 37 fremgår følgende (uddrag):

"Virksomheder registreret efter §§ 47, 49, 51 eller 51a kan ved opgørelsen af afgiftstilsvaret som indgående afgift, jf. § 56, stk. 3, fradrage afgiften efter denne lov for virksomhedens indkøb m.v. af varer og ydelser, der udelukkende anvendes til brug for virksomhedens leverancer, som ikke er fritaget for afgift efter § 13, herunder leverancer udført i udlandet, jf. dog stk. 6.

Stk. 2. Den fradragsberettigede afgift er

1) afgiften af varer og ydelser, der er leveret til virksomheden,

(…)".

Af dagældende momsbekendtgørelse nr. 814 af den 24. juni 2013, § 84 fremgår følgende (uddrag):

"Registrerede virksomheder skal til dokumentation af den indgående afgift kunne fremlægge fakturaer, herunder forenklede fakturaer og afregningsbilag, eller enhedsdokumentets eksemplar 8 med eventuelle rettelsesmeddelelser m.v. fra SKAT eller fakturaer for erhvervelser fra andre EU-lande med anførelse af sælgerens og køberens registreringsnummer. "

Samme momsbekendtgørelse nr. 814 af 24. juni 2013 indeholder i kapitel 12 en række fakturakrav. Bekendtgørelsens § 61 fastsætter de nærmere krav til fakturaens indhold, heraf fremgår:

"Med forbehold for de øvrige bestemmelser i dette kapitel skal en faktura, herunder afregningsbilag, jf. § 70 i denne bekendtgørelse, indeholde:

1) Udstedelsesdato (fakturadato).

2) Fortløbende nummer, der bygger på én eller flere serier, og som identificerer fakturaen.

3) Den registrerede virksomheds (sælgerens) registreringsnummer.

4) Den registrerede virksomheds og køberens navn og adresse.

5) Mængden og arten af de leverede varer eller omfanget og arten af de leverede ydelser.

6) Den dato, hvor levering af varerne eller ydelserne foretages eller afsluttes, eller hvor et afdragsbeløb betales, forudsat en sådan dato er fastsat og forskellig fra fakturaens udstedelsesdato.

7) Afgiftsgrundlaget, pris pr. enhed uden afgift, eventuelle prisnedslag, bonus og rabatter, hvis disse ikke er indregnet i prisen pr. enhed.

8) Gældende afgiftssats.

9) Det afgiftsbeløb, der skal betales. "

Bestemmelsernes indhold er identisk med dagældende momsbekendtgørelse nr. 663 af den 16. juni 2006, §§ 58 og 40, gældende for perioden forud for 1. juli 2013.

Bestemmelsen i momslovens § 37 implementerer 6. direktivs artikel 17, nu momssystemdirektivets artikel 167 til 168, hvoraf bl.a. fremgår følgende (uddrag):

"Artikel 167

Fradragsretten indtræder samtidig med, at den fradragsberettigede afgift forfalder.

Artikel 168

I det omfang varer og ydelser anvendes i forbindelse med hans afgiftspligtige transaktioner, hvoraf der er betalt moms, har den afgiftspligtige person i den medlemsstat, hvor han foretager transaktionerne, ret til i den afgift, der påhviler ham, at fradrage følgende beløb:

a) den moms, som skal betales eller er betalt i nævnte medlemsstat for varer og ydelser, der er eller vil blive leveret til ham af en anden afgiftspligtig person.

(…)"

Af momssystemdirektivets artikel 178 og 179 fremgår følgende (uddrag):

"Artikel 178

For at kunne udøve sin fradragsret skal den afgiftspligtige person opfylde følgende betingelser:

a) for det i artikel 168, litra a), omhandlede fradrag - for så vidt angår levering af varer og ydelser - være i besiddelse af en faktura, der er udfærdiget i overensstemmelse med artikel 220-236 samt artikel 238, 239 og 240

(…)

Artikel 179

Fradraget foretages under ét af den afgiftspligtige person, ved at han i den moms, der skal betales for en afgiftsperiode, fradrager de momsbeløb, for hvilke fradragsretten i løbet af samme periode er opstået og udøves i henhold til artikel 178.

(…)".

EF-domstolen har i sag C-152/02 (Terra Baubedarf-Handel GmbH) udtalt, jf. præmis 34, at fradraget som omhandlet i 6. direktivs artikel 17, stk. 2 (nu momssystemdirektivets artikel 168), skal ske for den afgiftsperiode, hvori de to betingelser i 6. direktivs artikel 18, stk. 2, 1. afsnit (nu momssystemdirektivets artikel 179) begge er opfyldt. Det vil sige, at der skal være foretaget levering af goder eller tjenesteydelser, og at den afgiftspligtige skal være i besiddelse af en faktura eller et dokument, der ifølge kriterier fastsat af den pågældende medlemsstat kan anses for et tilsvarende dokument.

Ved anmodning om fradrag i henhold til momslovens § 37 påhviler det selskabet at godtgøre, at betingelserne herfor er opfyldt. Beviskravet vil efter retspraksis blive skærpet i tilfælde, hvor fakturabetingelserne ikke er opfyldt, herunder manglende oplysninger på fakturaen om, hvor og hvornår arbejdet er udført, samt hvem der har udført arbejdet. Der henvises til Retten i Glostrups dom af 5. marts 2020, sag nr. BS-18485/2019-GLO.

I de afviste fakturaer er der kun sparsomme oplysninger om, hvor arbejdet er udført. Det fremgår ikke hvornår eller hvem, der har udført opgaverne, og der er ikke fremlagt andet materiale, som kan dokumentere dette. Derudover afviger beløbene på de afviste fakturaer væsentligt fra de øvrige godkendte fakturaer. Endvidere er de afviste fakturaer indbetalt til IA's private kontonummer, mens de øvrige godkendte fakturaer er indbetalt til G1's kontonummer. Under disse omstændigheder påhviler der selskabet en skærpet bevisbyrde for, at fakturaerne dækker over afgiftspligtige leverancer.

Selskabet har i afgiftsperioden november 2011 - marts 2014 angivet momstilsvar på i alt 10.402.090 kr.

SKAT har nægtet selskabet fradrag for købsmoms for nogle af ydelserne fra G1 for i alt 496.119 kr., for afgiftsperioden november 2011 - marts 2014, idet SKAT anser de udstedte fakturaer for at være uden realitet. Nægtelsen af fradrag vedrører 34 fakturaer udstedt af G1.

Som dokumentation for udgifterne er fremlagt de 34 fakturaer fra G1, som SKAT har nægtet fradrag for, samt de øvrige fakturaer som SKAT har godkendt fradrag for.

Landsskatteretten finder, at selskabet ikke har løftet sin bevisbyrde for, at der er tale om fradragsberettigede udgifter efter momslovens § 37.

Der er herved henset til, at der på de afviste fakturaer er faktureret beløb, som er væsentligt større end på de øvrige fakturaer, som G1 har udstedt til selskabet, og som SKAT har godkendt fradrag for. Til trods for, at fakturaerne vedrører væsentlige større beløb, er det - i modsætning til de fakturaer der godkendt fradrag for - ikke specificeret, hvor mange mænd der har udført opgaverne, samt hvor mange timer der er udført arbejde, enten ved at antallet af timer er påskrevet, eller ved at det fremgår i hvilket tidsrum der er udført arbejde. Selskabet har endvidere ikke fremlagt en samarbejdskontrakt eller timesedler, som kan dokumentere, at der er leveret ydelser til selskabet. Retten finder derfor, at selskabet ikke alene ved fremlæggelsen af fakturaerne har løftet sin bevisbyrde for, at G1 har leveret fradragsberettigede ydelser til selskabet.

Der er endvidere henset til, at flere af de ikke-godkendte fakturaer er udstedt den samme dato, og at det samlede beløb i flere af disse tilfælde udgør 137.500 kr. inkl. moms, og at disse fakturaer er påført IA's private kontonummer, samt at IA tidligere har oplyst, at fakturaerne var fiktive.

Formuleringen af tiltalen mod IA indeholder benævnelsen uregistreret virksomhed. Denne formulering kan efter rettens opfattelse ikke tjene som et bevis for, at afgiften er opkrævet af en afgiftspligtig person, som reelt har leveret varer eller ydelser til selskabet.

Retten finder under disse omstændigheder, at selskabet ikke har løftet sin bevisbyrde for, at betingelserne for fradrag efter momslovens § 37 er opfyldt. Selskabet har dermed ikke dokumenteret, at der er foretaget momspligtige leverancer i henhold til de fremlagte fakturaer. Henset til den sparsomme angivelse af arten og omfanget af de leverede ydelser og manglen af støttebilag finder retten, at fakturaerne ikke opfylder de indholdsmæssige krav i momsbekendtgørelsens § 61 (nu § 58, stk. 1).

Bemærkningerne om, at pladsmænd i H1 har oplyst, at der er udført arbejde i henhold til de fremlagte fakturaer, og særligt i forhold til fakturanumrene (red.faktura.nr.4.fjernet), (red.faktura.nr.21.fjernet) og (red.faktura.nr.22.fjernet), kan herefter ikke føre til et andet resultat. Der er herved henset til, at beløbenes størrelse, manglende oplysninger om tid, sted og arbejdsstedets udførelse svarer til beskrivelserne af de øvrige afviste fakturaer.

SKAT har i sin afgørelse i det væsentlige lagt vægt på de konkrete fakturaer udstedt til selskabet og omstændighederne omkring betalingerne heraf. Det kan således heller ikke føre til et andet resultat, at der i SKAT's afgørelse også indgår oplysninger fra IC og om fakturaer fra G1 udstedt til andre selskaber.

Henset til karakteren af den manglende dokumentation for de foretagne fradrag samt omstændighederne omkring fakturaernes betaling, herunder at beløbene på de afviste fakturaer er indbetalt på IA's private kontonummer, der er påskrevet eller påklistreret med en post-it, finder Landsskatteretten, at selskabet som minimum groft uagtsomt har bevirket, at afgiftstilsvaret er fastsat på et urigtigt grundlag, jf. skatteforvaltningslovens § 32, stk. 1, nr. 3.

Den påklagede afgørelse stadfæstes.

…"

Af Landsskatterettens afgørelse af 24. januar 2022 vedrørende H1's fradrag for købsmoms fremgår:

"… Møde mv.

Der har været afholdt møde mellem selskabets repræsentant og Skatteankestyrelsens sagsbehandler. Selskabets repræsentant har endvidere udtalt sig overfor Landsskatteretten på et retsmøde.

Faktiske oplysninger

Ifølge SKAT's afgørelse, er selskabets angivelsesperiode kalendermåneden. Selskabet har i afgiftsperioden 1. november 2011 - 31. marts 2014 angivet moms som følger:

Momsperiode

Angivet indgående afgift

Angivet momstilsvar

November 2011

1.610.675,00 kr.

522.268,00 kr.

December 2011

953.048,00 kr.

1.793.896,00 kr.

Marts 2012

488.833,00 kr.

824.130,00 kr.

April 2012

627.375,00 kr.

447.485,00 kr.

Maj 2012

629.705,00 kr.

978.823,00 kr.

Juli 2012

945.345,00 kr.

379.729,00 kr.

September 2012

1.108.513,00 kr.

467.804,00 kr.

November 2012

1.117.754,00 kr.

1.155.340,00 kr.

December 2012

894.150,00 kr.

853.462,00 kr.

Marts 2013

722.549,00 kr.

34.308,00 kr.

April 2013

1.014.220,00 kr.

717.824,00 kr.

September 2013

1.418.459,00 kr.

71.053,00 kr.

Oktober 2013

1.302.724,00 kr.

1.390.687,00 kr.

November 2013

1.582.086,00 kr.

8.218,00 kr.

Marts 2014

-231.809,00 kr.

756.703,00 kr.

SKAT har i afgiftsperioden november 2011 - marts 2014 nægtet selskabet fradrag for købsmoms for i alt 496.119 kr. for udgifter til underleverandøren G1-virksomhed, herefter G1.

Der er nægtet fradrag for købsmoms for følgende fakturaer:

*Der er noteret en anden dato i SKAT's afgørelse.

** Det er ikke muligt at se datoen, da en påklistret post-it er scannet ind over.

Datoen er fundet ved at sammenligne beløbene med SKAT's afgørelse.

*** Det er ikke muligt at se afgiftsbeløbet, da en påklistret post-it er scannet ind over. Afgiftsbeløbet er fundet ved at sammenligne dato, fakturanummer og øvrige beløb med SKAT's afgørelse.

SKAT har påpeget, at flere af disse fakturaer er udstedt den samme dato, og at det samlede beløb i flere tilfælde udgør 137.500 kr. inkl. moms på disse dage. På fakturanr. (red.faktura.nr.1.fjernet), udstedt den 16. april 2013, er der faktureret 137.500 kr.

Ved nogle af de fakturaer, som er udstedt samme dag, udgør det samlede beløb 137.500 kr. Dette gælder blandt andet for 2012, fakturanr. (red.faktura.nr.2.fjernet) og (red.faktura.nr.3.fjernet), udstedt den 26. april 2012, fakturanr. (red.faktura.nr.4.fjernet), (red.faktura.nr.5.fjernet) og (red.faktura.nr.6.fjernet), udstedt den 31. maj 2021, fakturanr. (red.faktura.nr.7.fjernet) og (red.faktura.nr.8.fjernet), udstedt den 26. juli 2012, fakturanr. (red.faktura.nr.9.fjernet) og (red.faktura.nr.10.fjernet), udstedt den 6. september 2012, fakturanr. (red.faktura.nr.11.fjernet) og (red.faktura.nr.12.fjernet), udstedt den 1. november 2012, samt fakturanr. (red.faktura.nr.13.fjernet) og (red.faktura.nr.14.fjernet), udstedt den 27. december 2012.

For 2013 ses det også, at nogle af de samlede fakturabeløb for fakturaer, som er udstedt samme dag, giver 137.500 kr. Dette gælder blandt andet fakturanr. (red.faktura.nr.15.fjernet), (red.faktura.nr.16.fjernet) og (red.faktura.nr.17.fjernet), udstedt den 22. marts 2013, fakturanr. (red.faktura.nr.18.fjernet), (red.faktura.nr.18.fjernet) og (red.faktura.nr.20.fjernet), udstedt den 28. november 2011.

SKAT har nægtet fradrag for ovenstående fakturaer, idet de er overført til kontonummer X1-bankkonto, som er kontonummeret tilhørende den daværende direktør i G1's private konto.

SKAT har godkendt fradrag for andre fakturaer, som er udstedt af G1. Disse fakturaer er indbetalt til G1's almindelige konto, og SKAT har lagt til grund, at der er sket levering mod vederlag i henhold til nedenstående fakturaer.

SKAT har godkendt fradrag for købsmoms for følgende fakturaer:

SKAT's afgørelse

SKAT har forhøjet selskabets momstilsvar med i alt 496.119 kr. for afgiftsperioden november 2011 - marts 2014, idet SKAT har nægtet fradrag for købsmoms for udgifter til G1.

SKAT har som begrundelse for afgørelsen anført følgende:

"(…)

Varsling vedrørende ændring af moms for perioden fra og med maj 2013 til og med marts 2014 sker i medfør af de ordinære fristregler i skatteforvaltningsloven § 31 stk. 1 (Lovbekendtgørelse 2015-11-12 nr. 1267), hvoraf fremgår, at Told- og skatteforvaltningen ikke kan afsende varsel om fastsættelse eller ændring af afgiftstilsvar senere end 3 år efter angivelsesfristens udløb. Angivelsesfristen for maj måned 2013 var således d. 25.6.2013, hvorfor varsling af ændring af moms for maj 2013 senest skal være sket d. 25.6.2016. SKAT sendte ændringsforslag d. 8.6.2016. Fastsættelsen af afgiftstilsvaret skal foretages senest 3 måneder efter udløbet af fristen i § 31, 1. punktum, hvilket vil sige, at ændringen af f.eks. september måned 2013 (angivelsesfrist d. 25.10.2013) senest skal være varslet d. 25.10.2016 og fastsættelsen senest skal være foretaget d. 25.1.2017.

Ændringen af momstilsvar for perioden fra og med november måned 2011 til og med april måned 2013 ændres i henhold til de ekstraordinære regler i skatteforvaltningslovens § 32 stk. 1 nr. 3, jf. § 32 stk. 2. Dette begrundes med, at I forsætligt eller groft uagtsomt har afgivet urigtige momsangivelse, ved at have gjort brug af fakturaer fra G1-virksomhed, uden at der reelt er sket levering fra G1-virksomhed af de på fakturaerne anførte ydelser.

Af § 32 stk. 1 nr. 3 fremgår, at:

uanset fristerne i § 31 kan et afgiftstilsvar eller en godtgørelse af afgift fastsættes eller ændres efter anmodning fra den afgiftspligtige henholdsvis den godtgørelsesberettigede eller efter told- og skatteforvaltningens bestemmelse, hvis:

3) Den afgiftspligtige henholdsvis den godtgørelsesberettigede eller nogen på dennes vegne forsætligt eller groft uagtsomt har bevirket, at afgiftstilsvaret eller godtgørelsen er fastsat på et urigtigt eller ufuldstændigt grundlag.

Det fremgår af skatteforvaltningsloven § 32 stk. 2, at en ændring af afgiftstilsvaret eller godtgørelsen af afgift kun kan foretages efter stk. 1, hvis den varsles af told- og skatteforvaltningen eller anmodningen fra den afgiftspligtige henholdsvis den godtgørelsesberettigede fremsættes senest 6 måneder efter, at told- og skatteforvaltningen henholdsvis den afgiftspligtige eller den godtgørelsesberettigede er kommet til kundskab om det forhold, der begrunder fravigelsen af fristerne i § 31. En ændring af afgiftstilsvar eller godtgørelse af afgift, der er varslet af told- og skatteforvaltningen, skal foretages senest 3 måneder efter den dag, hvor varsling er afsendt. Har det betydning for den afgiftspligtiges henholdsvis den godtgørelsesberettigedes mulighed for at varetage sine interesser, at fristen efter 2. pkt. forlænges, skal en anmodning om en rimelig fristforlængelse imødekommes. Told- og skatteforvaltningen kan behandle en anmodning om genoptagelse, der er modtaget efter udløbet af fristen i 1. pkt., hvis særlige omstændigheder taler derfor.

SKAT kan oplyse, at 6 måneders fristen i § 32 stk. 2 i nærværende sag tidligst anses for værende d. 27.4.2016, hvor SKAT var på kontrol i virksomheden.

Der er d. 4.8.2016 anmodet om udsættelse af ansættelsesfristen i sagen til d. 31.10.2016 i henhold til skatteforvaltningslovens § 32 stk. 2, 3. punkt vedrørende momsperioderne fra november måned 2011 til og med april måned 2013, hvilket SKAT har imødekommet.

Som det fremgår af sagens punkt 1, har SKAT ikke fundet grundlag for, at der har været realiteter bag de pågældende fakturaer, hvor G1-virksomhed til SKAT har oplyst, at der er tale om fiktive fakturaer. SKAT har undersøgt forholdet ved G1-virksomhed og H1 og har ikke ved kontrol fundet omstændigheder, der kan bekræfte leverancernes realitet.

Som det fremgår af SKAT's begrundelse under punkt 1.4 har SKAT særlig lagt vægt på,

• at SKAT ved kontrolbesøg i H1 ikke blev bekendt med oplysninger, der kunne bekræfte leverancernes realitet. H1 har heller ikke selv været i stand til at fremkomme med konkrete oplysninger, der underbygger, at der har været realiteter bag de afviste fakturaer fra G1-virksomhed.

• at de fiktive fakturaer er uspecificerede, mens de godkendte fakturaer fra G1-virksomhed er specificeret på enheder, datoer m.v. og typisk udgør betydeligt mindre beløb.

• at betaling af de fiktive fakturaer tilnærmelsesvis sker med faste beløb omkring 137.500 kr. uagtet, at der ifølge fakturaerne er tale om ydelser på forskellige projekter eller flere fakturaer.

• at betaling af fakturaerne i næsten alle tilfælde sker samtidig eller i tilknytning til fakturaens udstedelse eller modtagelse, hvilket er meget usædvanligt i forhold til, hvornår H1 normalt betaler fakturaer.

• at det må anses for usædvanligt, at betaling af fakturaerne sker til et konto-nr. som løsligt er påskrevet en gul post-it mærkat, uden forinden at have sikret sig at betaling kan ske med frigørende virkning dertil, da det er åbenlyst, at kontonummeret er forskelligt i forhold til det kontonummer, som er fortrykt på fakturalogoet og som H1 normalt betaler til.

• at betalingerne hos modtager IA i det væsentligste anses for hævet i kontanter umiddelbart efter at pengene er indbetalt.

• at der også er konstateret lige artede atypiske betalingsmønstre for så vidt angår øvrige udstedte fakturaer af IA til andre virksomheder end H1, hvor IA på samme vis har oplyst, at disse fakturaer også er fiktive.

• at det i øvrigt må anses for både ulogisk og meget usædvanligt, at G1-virksomhed både i forhold til H1 og en række øvrige virksomheder alle beliggende på Y1-by på forhånd skulle påstå, at fakturaer i så stort et omfang uden grund skulle være fiktive. SKAT bemærker samtidig, at H1 forsætter med at indkøbe ydelser fra G1-virksomhed også efter, at politiet har gjort H1 bekendt med påstanden om de fiktive fakturaer.

Herudover er der under punkt 1.4 anført en række øvrige oplysninger som ud fra en samlet vurdering har medført, at SKAT i øvrigt anser de afviste fakturaer for uden realitet.

Det fremgår af retspraksis på området, at der påhviler køber skærpede krav til dokumentationen for momsfradrag ved unormale forhold, jf. bl.a SKM 2009.325 ØLR. Af § 82 i momsbekendtgørelsen fremgår, at virksomheder til dokumentation for indgående afgift skal kunne fremlægge en faktura. Kravene til en fakturas indhold fremgår af momsbekendtgørelse § 58 nr. 1-9 (tidligere § 40 og § 61). Af momsbekendtgørelsens § 58 nr. 5 og 6 fremgår, at fakturaer skal indeholde oplysninger om omfanget og arten af de leverede ydelser samt oplysninger om, hvornår ydelserne er leveret eller afsluttet. Da H1 allerede under SKAT's kontrol erkendte, at flere af de på fakturaerne anførte arbejdsydelser ikke reelt var blevet udført af G1-virksomhed må fakturaerne anses for ikke at opfylde kravene i momsbekendtgørelsens § 58 nr. 5 vedrørende beskrivelsen af mængden, arten og omfanget af de leverede ydelser. Fakturaerne indeholder generelt heller ingen oplysninger omkring dato for leverings- eller afslutningstidspunkt, hvorved momsbekendtgørelsens § 58 stk. 6 heller ikke anses for opfyldt. Momsfradrag kan således ikke godkendes, da fakturakravene ikke anses for opfyldt. Der henvises til EU-dommen C271/12 Petroma Transports, hvoraf fremgår, at bestemmelserne i sjette direktiv skal fortolkes således, at de ikke er til hinder for en national lovgivning i henhold til hvilken afgiftspligtige aftagere af tjenesteydelser, der er i besiddelse af ufuldstændige fakturaer, kan nægtes retten til fradrag for moms, selv om disse fakturaer, efter at en sådan afgørelse om nægtelse er blevet truffet, suppleres ved fremlæggelse af oplysninger, som har til formål at bevise de fakturerede transaktioners faktiske gennemførelse, deres art og beløbet herfor. Det fremgår også af samme dom samt af EU-dommene C-642/11 Stroy trans og C-643/11 LVK56 EOOD, at det forhold, at der nægtes en køber fradragsret for købsmoms ikke bevirker, at der ikke kan pålægges sælger at betale moms.

EU-dommen af 31.1.2013 benævnt C-643/11 LVK-56 EOOD, omhandler bl.a. princippet om afgiftsneutralitet, ret til fradrag, moms anført på fakturaen, forfald, spørgsmålet om en afgiftspligtig transaktion har fundet sted, ens bedømmelse med hensyn til udstederen af fakturaen og dens modtager. I sagen blev der givet afslag på ret til fradrag af moms med den begrundelse, at det ikke var godtgjort, at de indgående transaktioner reelt havde fundet sted.

Der kan henvises til SKM2016.27 ØLR, hvor skatteyder ligeledes blev nægtet momsfradrag af fakturaer fra underleverandør, da det ikke var dokumenteret, at der var sket levering, ligesom fakturaerne heller ikke opfyldte fakturakravene, i den daværende momsbekendtgørelse § 40, stk. 5 og 6 i dag momsbekendtgørelsens § 58 nr. 5 og 6.

Da SKAT anser fakturaerne i nærværende sag for fiktive og dermed ikke er udtryk for faktiske leverancer nægtes momsfradrag, da betingelserne for fradrag ikke er opfyldt, jf. retspraksis samt momslovens § 37.

Den for meget fratrukne købsmoms i perioden fra november 2011 til marts 2014 efteropkræves således med i alt 496.119 kr., jf. opkrævningslovens § 5 stk. 1, hvoraf fremgår, at hvis det konstateres, at en virksomhed har afgivet urigtig angivelse eller indberetning af beløb omfattet af § 2, stk. 1, 4. pkt., således at virksomheden har betalt for lidt i skatter eller afgifter m.v. eller har fået udbetalt for meget i godtgørelse, afkræves virksomheden det skyldige beløb til betaling senest 14 dage efter påkrav.

2.5 SKAT's endelige afgørelse

Selskabets bemærkninger til SKAT's ændringsforslag af 8.6.2016 har ikke givet anledning til ændringer. Selskabets momsmomstilsvar ændres herefter i henhold til ændringsforslaget, jf. SKAT's bemærkninger og begrundelse herfor under punkt 2.4.

(…)"

Klagerens opfattelse

Selskabets repræsentant har fremsat påstand om, at der godkendes fradrag for købsmoms for udgifter til underleverandøren G1, for i alt 496.119 kr. i afgiftsperioden november 2011 - marts 2014.

Retsmøde i Landsskatteretten

På retsmødet fremsatte repræsentanten påstand om, at selskabet for den påklagede periode havde ret til fradrag for de afviste fakturaer og gennemgik sine anbringender i overensstemmelse med de skriftlige indlæg.

Repræsentanten lagde særligt vægt på, at han havde indhentet forklaringer fra pladsformænd, som havde bekræftet, at G1 havde leveret ydelser. Repræsentanten anførte herefter, at pladsformændenes forklaring dokumenterede, at der var leveret ydelser, særligt vedrørende fakturanr. (red.faktura.nr.4.fjernet), udstedt den 31. maj 2012, samt fakturanr. (red.faktura.nr.21.fjernet) og (red.faktura.nr.22.fjernet), begge udstedt den 7. marts 2014. Repræsentanten henviste til sit notat af 28. september 2016, hvori han har nedskrevet pladsformændenes forklaringer.

Skattestyrelsen indstillede i overensstemmelse med tidligere udtalelser, at afgørelsen stadfæstes.

Landsskatterettens afgørelse

Der skal tages stilling til, om det er med rette, at SKAT har nægtet selskabet fradrag for købsmoms for udgifter til underleverandøren G1.

Af momslovens § 37 fremgår følgende (uddrag):

"Virksomheder registreret efter §§ 47, 49, 51 eller 51a kan ved opgørelsen af afgiftstilsvaret som indgående afgift, jf. § 56, stk. 3, fradrage afgiften efter denne lov for virksomhedens indkøb m.v. af varer og ydelser, der udelukkende anvendes til brug for virksomhedens leverancer, som ikke er fritaget for afgift efter § 13, herunder leverancer udført i udlandet, jf. dog stk. 6.

Stk. 2. Den fradragsberettigede afgift er

1) afgiften af varer og ydelser, der er leveret til virksomheden, (…)".

Af dagældende momsbekendtgørelse nr. 814 af den 24. juni 2013, § 84 fremgår følgende (uddrag):

"Registrerede virksomheder skal til dokumentation af den indgående afgift kunne fremlægge fakturaer, herunder forenklede fakturaer og afregningsbilag, eller enhedsdokumentets eksemplar 8 med eventuelle rettelsesmeddelelser m.v. fra SKAT eller fakturaer for erhvervelser fra andre EU-lande med anførelse af sælgerens og køberens registreringsnummer. "

Samme momsbekendtgørelse nr. 814 af 24. juni 2013 indeholder i kapitel 12 en række fakturakrav. Bekendtgørelsens § 61 fastsætter de nærmere krav til fakturaens indhold, heraf fremgår:

"Med forbehold for de øvrige bestemmelser i dette kapitel skal en faktura, herunder afregningsbilag, jf. § 70 i denne bekendtgørelse, indeholde:

1) Udstedelsesdato (fakturadato).

2) Fortløbende nummer, der bygger på én eller flere serier, og som identificerer fakturaen.

3) Den registrerede virksomheds (sælgerens) registreringsnummer.

4) Den registrerede virksomheds og køberens navn og adresse.

5) Mængden og arten af de leverede varer eller omfanget og arten af de leverede ydelser.

6) Den dato, hvor levering af varerne eller ydelserne foretages eller afsluttes, eller hvor et afdragsbeløb betales, forudsat en sådan dato er fastsat og forskellig fra fakturaens udstedelsesdato.

7) Afgiftsgrundlaget, pris pr. enhed uden afgift, eventuelle prisnedslag, bonus og rabatter, hvis disse ikke er indregnet i prisen pr. enhed.

8) Gældende afgiftssats.

9) Det afgiftsbeløb, der skal betales. "

Bestemmelsernes indhold er identisk med dagældende momsbekendtgørelse nr. 663 af den 16. juni 2006, §§ 58 og 40, gældende for perioden forud for 1. juli 2013.

Bestemmelsen i momslovens § 37 implementerer 6. direktivs artikel 17, nu momssystemdirektivets artikel 167 til 168, hvoraf bl.a. fremgår følgende (uddrag):

"Artikel 167

Fradragsretten indtræder samtidig med, at den fradragsberettigede afgift forfalder.

Artikel 168

I det omfang varer og ydelser anvendes i forbindelse med hans afgiftspligtige transaktioner, hvoraf der er betalt moms, har den afgiftspligtige person i den medlemsstat, hvor han foretager transaktionerne, ret til i den afgift, der påhviler ham, at fradrage følgende beløb:

a) den moms, som skal betales eller er betalt i nævnte medlemsstat for varer og ydelser, der er eller vil blive leveret til ham af en anden afgiftspligtig person.

(…)"

Af momssystemdirektivets artikel 178 og 179 fremgår følgende (uddrag):

"Artikel 178

For at kunne udøve sin fradragsret skal den afgiftspligtige person opfylde følgende betingelser:

a) for det i artikel 168, litra a), omhandlede fradrag - for så vidt angår levering af varer og ydelser - være i besiddelse af en faktura, der er udfærdiget i overensstemmelse med artikel 220-236 samt artikel 238, 239 og 240

(…)

Artikel 179

Fradraget foretages under ét af den afgiftspligtige person, ved at han i den moms, der skal betales for en afgiftsperiode, fradrager de momsbeløb, for hvilke fradragsretten i løbet af samme periode er opstået og udøves i henhold til artikel 178.

(…)".

EF-domstolen har i sag C-152/02 (Terra Baubedarf-Handel GmbH) udtalt, jf. præmis 34, at fradraget som omhandlet i 6. direktivs artikel 17, stk. 2 (nu momssystemdirektivets artikel 168), skal ske for den afgiftsperiode, hvori de to betingelser i 6. direktivs artikel 18, stk. 2, 1. afsnit (nu momssystemdirektivets artikel 179) begge er opfyldt. Det vil sige, at der skal være foretaget levering af goder eller tjenesteydelser, og at den afgiftspligtige skal være i besiddelse af en faktura eller et dokument, der ifølge kriterier fastsat af den pågældende medlemsstat kan anses for et tilsvarende dokument.

Ved anmodning om fradrag i henhold til momslovens § 37 påhviler det selskabet at godtgøre, at betingelserne herfor er opfyldt. Beviskravet vil efter retspraksis blive skærpet i tilfælde, hvor fakturabetingelserne ikke er opfyldt, herunder manglende oplysninger på fakturaen om, hvor og hvornår arbejdet er udført, samt hvem der har udført arbejdet. Der henvises til Retten i Glostrups dom af 5. marts 2020, sag nr. BS-18485/2019-GLO.

I de afviste fakturaer er der kun sparsomme oplysninger om, hvor arbejdet er udført. Det fremgår ikke hvornår eller hvem, der har udført opgaverne, og der er ikke fremlagt andet materiale, som kan dokumentere dette. Derudover afviger beløbene på de afviste fakturaer væsentligt fra de øvrige godkendte fakturaer. Endvidere er de afviste fakturaer indbetalt til IA's private kontonummer, mens de øvrige godkendte fakturaer er indbetalt til G1's kontonummer. Under disse omstændigheder påhviler der selskabet en skærpet bevisbyrde for, at fakturaerne dækker over afgiftspligtige leverancer.

Selskabet har i afgiftsperioden november 2011 - marts 2014 angivet momstilsvar på i alt 10.402.090 kr.

SKAT har nægtet selskabet fradrag for købsmoms for nogle af ydelserne fra G1 for i alt 496.119 kr., for afgiftsperioden november 2011 - marts 2014, idet SKAT anser de udstedte fakturaer for at være uden realitet. Nægtelsen af fradrag vedrører 34 fakturaer udstedt af G1.

Som dokumentation for udgifterne er fremlagt de 34 fakturaer fra G1, som SKAT har nægtet fradrag for, samt de øvrige fakturaer som SKAT har godkendt fradrag for.

Landsskatteretten finder, at selskabet ikke har løftet sin bevisbyrde for, at der er tale om fradragsberettigede udgifter efter momslovens § 37.

Der er herved henset til, at der på de afviste fakturaer er faktureret beløb, som er væsentligt større end på de øvrige fakturaer, som G1 har udstedt til selskabet, og som SKAT har godkendt fradrag for. Til trods for, at fakturaerne vedrører væsentlige større beløb, er det - i modsætning til de fakturaer der godkendt fradrag for - ikke specificeret, hvor mange mænd der har udført opgaverne, samt hvor mange timer der er udført arbejde, enten ved at antallet af timer er påskrevet, eller ved at det fremgår i hvilket tidsrum der er udført arbejde. Selskabet har endvidere ikke fremlagt en samarbejdskontrakt eller timesedler, som kan dokumentere, at der er leveret ydelser til selskabet. Retten finder derfor, at selskabet ikke alene ved fremlæggelsen af fakturaerne har løftet sin bevisbyrde for, at G1 har leveret fradragsberettigede ydelser til selskabet.

Der er endvidere henset til, at flere af de ikke-godkendte fakturaer er udstedt den samme dato, og at det samlede beløb i flere af disse tilfælde udgør 137.500 kr. inkl. moms, og at disse fakturaer er påført IA's private kontonummer, samt at IA tidligere har oplyst, at fakturaerne var fiktive.

Formuleringen af tiltalen mod IA indeholder benævnelsen uregistreret virksomhed. Denne formulering kan efter rettens opfattelse ikke tjene som et bevis for, at afgiften er opkrævet af en afgiftspligtig person, som reelt har leveret varer eller ydelser til selskabet.

Retten finder under disse omstændigheder, at selskabet ikke har løftet sin bevisbyrde for, at betingelserne for fradrag efter momslovens § 37 er opfyldt. Selskabet har dermed ikke dokumenteret, at der er foretaget momspligtige leverancer i henhold til de fremlagte fakturaer. Henset til den sparsomme angivelse af arten og omfanget af de leverede ydelser og manglen af støttebilag finder retten, at fakturaerne ikke opfylder de indholdsmæssige krav i momsbekendtgørelsens § 61 (nu § 58, stk. 1).

Bemærkningerne om, at pladsmænd i H1 har oplyst, at der er udført arbejde i henhold til de fremlagte fakturaer, og særligt i forhold til fakturanumrene (red.faktura.nr.4.fjernet), (red.faktura.nr.21.fjernet) og (red.faktura.nr.22.fjernet), kan herefter ikke føre til et andet resultat. Der er herved henset til, at beløbenes størrelse, manglende oplysninger om tid, sted og arbejdsstedets udførelse svarer til beskrivelserne af de øvrige afviste fakturaer.

SKAT har i sin afgørelse i det væsentlige lagt vægt på de konkrete fakturaer udstedt til selskabet og omstændighederne omkring betalingerne heraf. Det kan således heller ikke føre til et andet resultat, at der i SKAT's afgørelse også indgår oplysninger fra IC og om fakturaer fra G1 udstedt til andre selskaber.

Henset til karakteren af den manglende dokumentation for de foretagne fradrag samt omstændighederne omkring fakturaernes betaling, herunder at beløbene på de afviste fakturaer er indbetalt på IA's private kontonummer, der er påskrevet eller påklistreret med en post-it, finder Landsskatteretten, at selskabet som minimum groft uagtsomt har bevirket, at afgiftstilsvaret er fastsat på et urigtigt grundlag, jf. skatteforvaltningslovens § 32, stk. 1, nr. 3.

Den påklagede afgørelse stadfæstes.

…"

Landsskatteretten har den 24. januar 2022 truffet afgørelse om maskeret udbytte vedrørende B, A og C. Afgørelserne er enslydende bortset fra beløbene. Af Landsskatterettens afgørelse vedrørende B fremgår:

"… Møde mv.

Der har været afholdt møde mellem klagerens repræsentant og Skatteankestyrelsens sagsbehandler. Klagerens repræsentant har endvidere udtalt sig overfor Landsskatteretten på et retsmøde.

Faktiske oplysninger

B, herefter klageren, var via et holdingselskab aktionær i aktieselskabet H1, herefter selskabet, cvr-nr. ...15, som blev stiftet den (red.dato.nr.1.fjernet). Klageren var i de påklagede indkomstår en del af direktionen.

Selskabet er registreret under branchekode (red.branchekode.nr.1.fjernet). Selskabets formål er at drive virksomhed inden for (red.formål.nr.1.fjernet). Selskabet har forskellige binavne, herunder (red.binavn.nr.1.fjernet), (red.binavn.nr.2.fjernet) samt (red.binavn.nr.3.fjernet).

Selskabet blev stiftet af C, herefter C. Indtil den 24. november 2015 sad C i direktionen sammen med klageren og underdirektør A, herefter A.

C fratrådte direktionen og stoppede i selskabet den 24. november 2015.

Selskabet har i den påklagede indkomstperiode været registreret med 50 - 199 ansatte.

Ejerforholdet i selskabet i de påklagede indkomstår var således, at A ejede 20 % af selskabet gennem G2-virksomhed, cvr-nr. ...11, hvori han var den ultimative ejer. Klageren ejede 40 % gennem G3-virksomhed, cvr-nr. ...12, hvori han var den ultimative ejer. C ejede ligeledes 40 % af selskabet gennem G4-virksomhed, cvr-nr. ...13, hvori han var den ultimative ejer.

SKAT har for indkomstårene 2011 - 2014 nægtet selskabet fradrag for i alt 2.480.593,75 kr. inkl. moms, for udgifter til underleverandøren G1-virksomhed, herefter G1. SKAT har nægtet fradrag for nogle af udgifterne til G1, idet SKAT mener, at 34 af fakturaerne er fiktive, og at overførslerne for disse dermed ikke er afholdt i selskabets interesse, men i klagerens.

Klageren har under en afhøring den 2. november 2015 oplyst til politiet, at hans rolle i selskabet var personaleansvar samt at han stod for anlægsafdelingen. Klageren oplyste, at G1 mest varetog "arme og ben" opgaver, som blandt andet at bære radiatorer, nedløbsrør, rør, vinduer, etc. op og ned. Arbejdet G1 udførte for selskabet, var arbejde, som ikke krævede ikke uddannelse, men mandekraft. Klageren oplyste i politiafhøringen at han ikke kendte den tidligere direktør i G1, IA, herefter IA, privat, men at han har mødt ham en eller to gange. Klageren oplyste endvidere, at C kendte mange personer på Y1-by og klageren kunne dermed ikke afvise, at C kender IA privat.

Klagerens repræsentant har til mødet med Skatteankestyrelsen den 17. september 2019 oplyst, at hverken klageren eller de to øvrige aktionærer har en interesse i fodbold.

SKAT's afgørelse

SKAT har forhøjet klagerens aktieindkomst med i alt 992.238 kr., svarende til 40 % af 2.480.594 kr. for indkomstårene 2012 til 2014, idet SKAT mener, at selskabets overførsler ikke dækker over indkøb af leverancer til selskabet. SKAT mener dermed ikke, at overførslerne er sket i selskabets interesse, men i klagerens.

Som begrundelse for sin påstand har SKAT anført:

"(…)

1.4. SKAT's bemærkninger og begrundelse

Du anses for omfattet af den ordinære ligningsfrist jf. skatteforvaltningslovens § 26 stk. 1, hvoraf fremgår, at varsling skal være afsendt senest den 1. maj i det fjerde år efter indkomstårets udløb. Varsling af ændringer for indkomstårene 2013 og 2014 foretages således i henhold til de ordinære ligningsfrister, hvoraf også fremgår at ansættelsen senest skal være foretaget den 1. august i det fjerde år efter indkomstårets udløb.

Ændring af indkomståret 2012 foretages i medfør af de ekstraordinære ligningsfrister, jf. skatteforvaltningslovens § 27 stk. 1 nr. 5, hvoraf fremgår, at uanset fristerne i § 26 kan en ansættelse af indkomst- eller ejendomsværdiskat foretages eller ændres efter anmodning fra den skattepligtige eller efter told- og skatteforvaltningens bestemmelse, hvis den skattepligtige eller nogen på dennes vegne forsætligt eller groft uagtsomt har bevirket, at skattemyndighederne har foretaget en ansættelse på et urigtigt eller ufuldstændigt grundlag. Det er SKAT's opfattelse, at du som direktør og medejer i H1 groft uagtsomt eller forsætligt har foranlediget betalinger til at ske til IA på et fiktivt og konstrueret grundlag.

Det fremgår af skatteforvaltningslovens § 27 stk. 2, at en ansættelse kun kan foretages i de i § 27 stk. 1 nævnte tilfælde, hvis den varsles af told- og skatteforvaltningen eller genoptagelsesanmodning fremsættes af den skattepligtige senest 6 måneder efter, at told- og skatteforvaltningen henholdsvis den skattepligtige er kommet til kundskab om det forhold, der begrunder fravigelsen af fristerne i § 26. En ansættelse, der er varslet af told- og skatteforvaltningen, skal foretages senest 3 måneder efter den dag, hvor varsling er afsendt. SKAT kan oplyse, at kundskabstidspunktet efter § 27 stk. 2 tidligst anses for d. 27.4.2016, hvor SKAT var på kontrol i H1.

SKAT er i forbindelse med kontrollen i H1 ikke blevet bekendt med faktiske oplysninger, der kan bekræfte, at der skulle være sket levering af de ydelser, som fremgår af en række afviste fakturaer, som af henholdsvis G1-virksomhed og IA var anmeldt og oplyst som værende fiktive.

H1 er blot en ud af flere virksomheder, hvor IA har oplyst overfor SKAT og Politiet, at have udstedt fiktive fakturaer til. Når IA efterfølgende ikke til politirapport vil stå ved sin selvanmeldelse skal dette efter SKAT's vurdering alene ses i lyset af, at han samtidig oplyser, at han ikke kunne bo på Y1-by, såfremt han forklarede sig anderledes. IA har oplyst, at personerne som han handlende med (C fra H1) er nogle som han har kendt i mange år. Både IA og G1-virksomhed har overfor SKAT fastholdt, at fakturaerne er fiktive.

SKAT har i sagen konstateret en lang række af unormale omstændigheder, der ud fra en samlet vurdering medfører, at det må anses for godtgjort, at de af G1-virksomhed afviste fakturaer er fiktive. Politiet har i efteråret 2015 undersøgt IA's selvanmeldelse, hvor undersøgelsen har bestået i afhøring af ledelsen i 3 virksomheder herunder H1, hvor det var påstand mod påstand omkring fakturaernes rigtighed, hvorefter politiets undersøgelse heraf blev indstillet. SKAT har siden hen modtaget supplerende oplysninger i marts og maj 2016 fra G1-virksomhed, hvori de fastholder, at der er tale om fiktive faktureringer. Efter SKAT's kontrolbesøg i H1, er det SKAT's opfattelse, at fakturaerne herefter må anses for uden realitet.

SKAT har i vurderingen af sagen således særlig lagt vægt på,

• at SKAT ved kontrolbesøg i H1 ikke blev bekendt med oplysninger, der kunne bekræfte leverancernes realitet. H1 har heller ikke selv været i stand til at fremkomme med konkrete oplysninger, der underbygger, at der har været realiteter bag de afviste fakturaer fra G1-virksomhed.

• at de fiktive fakturaer er uspecificerede, mens de godkendte fakturaer fra G1-virksomhed er specificeret på enheder, datoer m.v. og typisk udgør betydeligt mindre beløb.

• at betaling af de fiktive fakturaer tilnærmelsesvis sker med faste beløb omkring 137.500 kr. uagtet, at der ifølge fakturaerne er tale om ydelser på forskellige projekter eller flere fakturaer.

• at betaling af fakturaerne i næsten alle tilfælde sker samtidig eller i tilknytning til fakturaens udstedelse eller modtagelse, hvilket er meget usædvanligt i forhold til, hvornår H1 normalt betaler fakturaer.

• at det må anses for usædvanligt, at betaling af fakturaerne sker til et kontonr. som løsligt er påskrevet en gul post-it mærkat, uden forinden at have sikret sig at betaling kan ske dertil med frigørende virkning, da det er åbenlyst, at kontonummeret er forskelligt i forhold til det kontonummer, som er fortrykt på fakturalogoet og som H1 normalt betaler til.

• at betalingerne hos modtager IA i det væsentligste anses for hævet i kontanter umiddelbart efter at pengene er indbetalt.

• at der også er konstateret tilsvarende atypiske betalingsmønstre for så vidt angår øvrige udstedte fakturaer af IA til andre virksomheder på Y1-by end H1, hvor IA på samme vis har oplyst, at disse fakturaer også er fiktive.

• at det i øvrigt må anses for både ulogisk og meget usædvanligt, at G1-virksomhed både i forhold til H1 og en række øvrige virksomheder alle beliggende på Y1-by på forhånd skulle påstå, at fakturaer i så stort et omfang uden grund skulle være fiktive. SKAT bemærker samtidig, at H1 forsætter med at indkøbe ydelser fra G1-virksomhed også efter, at politiet har gjort H1 bekendt med påstanden om de fiktive fakturaer.

SKAT har i forbindelse med kontrollen konstateret, at H1 ikke selv ligger inde med nogen former for skriftlige aftaler, ordrebekræftelser, tilbud, arbejdssedler, mails, sms korrespondance eller andet der kan dokumentere, at de pågældende leverancer med G1-virksomhed reelt har fundet sted. Ved SKAT's gennemsyn af udvalgte byggeprojekter, er der heller ikke konstateret forhold, der bekræfter, at de fakturerede ydelser er blevet leveret af G1-virksomhed - tværtimod. Det drejer sig om 34 fakturaer for et samlet beløb inkl. moms på knap 2,5 mio. kr., som der således ikke ligger noget dokumentation for reelt er blevet udført eller aftalt med G1-virksomhed. SKAT kunne konstatere ved gennemsyn af sagsmapperne i H1, at G1-virksomhed ikke står anført på listen (tipskuponen) over anvendte underentreprenører i H1. Dette stemmer meget godt overens med oplysninger fra G1-virksomhed til SKAT om, at H1 blot var en mindre kunde. Som det fremgår af den talmæssige specifikation, er der alene godkendt 15 fakturaer med et samlet fakturabeløb inkl. moms på ca. 156.000 kr. i årene 2012-2014. Alle disse 15 fakturaer er retmæssigt blevet indbetalt af H1 til den bankkonto, som har været anført i brevlogoet på fakturaerne i modsætning til de 34 fiktive fakturaer. De godkendte fakturaer ses af H1 normalt betalt inden for 23 til 66 dage efter fakturadatoen, mens hovedparten af de afviste fakturaer betales samme dag eller umiddelbart i forlængelse af modtagelsen. Fra G1-virksomhed har SKAT modtaget kopi af et kontoudtog af d. 4.3.2016 (betalingspåmindelse), der bekræfter dette betalingsmønster, nemlig at H1 ikke normalt betaler fakturaer før op til forfaldstidspunktet eller derefter. Det bemærkes, at betaling af de godkendte fakturaer f.eks. faktura nr. (red.faktura.nr.23.fjernet) af 27.9.2012 på 5.000 kr. betales d. 1.11.2012 til bankkontoen tilhørende G1-virksomhed, mens 2 af de fiktive fakturaer nr. (red.faktura.nr.11.fjernet)+(red.faktura.nr.12.fjernet) begge dateret d. 1.11.2012 også betales d. 1.11.2012 men til en anden bankkonto tilhørende IA og med et beløb på i alt 137.500 kr.

Ved SKAT's kontrolbesøg blev det konstateret, at der mellem H1 og G1-virksomhed normalt faktureres på timebasis og ikke i form af større entreprisetilbud eller på grundlag af en i forvejen aftalt fastpris. Der er ikke fundet tilbud eller aftaler i.f.m. kontrollen mellem H1 og G1-virksomhed på de afviste fakturaer. SKAT fik på anmodning også udleveret fakturaer fra medio 2015 til marts 2016 på arbejdsydelser som H1 havde købt efterfølgende hos G6-virksomhed, der har overtaget aktiviteterne fra G1-virksomhed. Heraf fremgår det tydeligt, at der alene er tale om timebaserede regninger, hvor der faktureres for 300 kr. + moms pr. mand. i forbindelse med flytning af f.eks. radiatorer. Fakturaerne er i modsætning til de afviste fakturaer specificeret ud, og det er tydeligt, at fakturaerne er markant forskellige i forhold til dem, som overfor SKAT er oplyst som værende fiktive. Af fakturaer fra f.eks. d. 22.7.2015 og d. 10.8.2015 fremgår et tydeligt OBS-stempel, hvorpå der gøres opmærksom på, at betaling skal ske til en ny bankkonto tilhørende G6-virksomhed, ligesom der også i brevlogoet fremgår den retmæssige bankkonto, hvortil betaling skal foretages til. Dette står i kontrast til den måde, hvorpå betalingsanvisningerne af de fiktive fakturaer er ændret blot ved en løsligt påsat gul post-it mærkat.

SKAT er under kontrolbesøget heller ikke blevet bekendt med andre kreditorer, hvor H1 betaler de større fakturaer med samme hastighed. Betaling af de fiktive fakturaer sker betydeligt tidligere end den i bogføringen anførte forfaldsdato i modsætningen til ikke afviste fakturaer fra G1-virksomhed. Det fremgår af H1's kreditorkontoudtog for G1-virksomhed, at fakturaerne er bogført med forfald 30 dage efter fakturadatoen / bogføringsdatoen. Alligevel bliver hovedparten af de fiktive fakturaer betalt samtidig eller umiddelbart efter de er modtaget fra IA på direktionens foranledning.

Der blev ikke under kontrolbesøget konstateret, at H1 har benyttet sig af andre underleverandører i stedet for G1-virksomhed i de perioder, hvor der ikke ligger fakturaer fra G1-virksomhed. Det må også af den årsag ligges til grund, at de ydelser der er faktureret ikke reelt er blevet udført af G1-virksomhed, men i stedet er udført af H1's egne ansatte. SKAT bemærker, at H1 også har erkendt, at mange af de ydelser som der er faktureret for f.eks. bortkørsel af affald, nedrivning af faldstammer og vandrør, nedtagning af installationer og demontering slet ikke er udført af G1-virksomhed, men af H1's egne ansatte eller andre virksomheder betalt af H1. H1 har oplyst herom, at de ansatte fra G1-virksomhed alene er mødt ind uden værktøj og har udført flytning af de nævnte genstande (arme-ben ydelser). Når der på fakturaerne står nævnt arbejder eller levering af ydelser, som derfor ikke er udført af G1-virksomhed, så underbygger det blot de manglende realiteter i de afviste fakturaer fra G1-virksomhed.

SKAT bemærker, at G1-virksomhed fra start har fastholdt, at der var tale om fiktive fakturaer. En påstand som uden videre burde kunne tilbagevises såfremt den var ubegrundet. Det må anses for meget usandsynligt, at en virksomhed ikke vil vedstå sig levering af en så stor mængde arbejdsydelser som fremgår af fakturaerne i de tilfælde, at levering var sket som påstået af H1. Under normale omstændigheder vil det hurtigt kun dokumenteres ved fremlægges af forskellige korrespondance mv., at der har været indgået en konkret aftale om levering af arbejdsydelser. Det bemærkes, at det drejer sig om arbejdsydelser for ca. 2 mio. kr. som H1 ikke på nogen måder har nogen konkret dokumentation for skulle være udført af G1-virksomhed. Særligt unormalt er det, at der ifølge H1 er tale om fastpris aftaler mellem direktionen og IA, når der så ikke ligger skriftlige aftaler omkring dette mellem virksomhederne og når øvrige fakturaer er på timebasis.

Det er derfor SKAT's opfattelse, at der ikke er sket levering i overensstemmelse med de udstedte fakturaer, som oplyst af G1-virksomhed, da det må anses for godtgjort på baggrund af sagens omstændigheder, at de afviste fakturaer er helt uden realitet, og at det på fakturaerne anførte arbejde ikke ses udført af G1-virksomhed. Det fremgår af retspraksis, jf. bl.a SKM2009.325 ØLR, at der ved unormale forhold er skærpede krav til dokumentationen for fradrag. I den konkrete sag var der en række faktorer, der rejste tvivl om fakturaernes realitet, hvorfor skatteyderen både moms- og skattemæssigt blev nægtet fradrag efter statsskattelovens § 6a for udgifter afholdt til indkøb af fremmed arbejdskraft.

Af SKM 2008.4 HR tiltræder Højesteret af de grunde Landsretten (se SKM2006.57 ØLR) har anført herunder, at det ikke anses for godtgjort, at udbetalinger ud over de beløb, der er angivet i de løbende udstedte fakturaer, var afholdt for at erhverve, sikre eller vedligeholde indkomsten, jf. statsskattelovens § 6, stk. 1, litra a. Af Landsrettens begrundelse fremgår, at de gennem årene udstedte fakturaer var specificeret for så vidt angår perioder men ikke opgaver, mens slutfakturaen ikke indeholdt nogen specifikation af ydelserne, ligesom betalingerne hos modtager var anført som lån mens slutfakturaen ikke indgik i udsteders regnskabsmateriale.

Da SKAT på ingen måder har fundet det sandsynliggjort, at fakturaerne dækker over reelle leverancer, og da fakturaerne tilmed er afvist af fakturaudsteder som fiktive og anmeldt til politiet, påhviler der H1 skærpet krav til dokumentationen for at betalingerne er anvendt i H1 interesse, særligt når der i sagen foreligger unormale forhold, jf. retspraksis.

Det er SKAT's opfattelse, at IA har udskrevet fakturaerne efter aftale med H1 alene med henblik på svig i overensstemmelse med IA's selvanmeldelse til politiet. En analyse af betalingerne både i forhold til H1, men også sammenholdt med betalinger modtaget af IA fra andre virksomheder viser et tilsvarende mønster, både hvad angår betalinger på tilsammen 137.500 kr. generelt og i forhold til, at betalingerne i de fleste tilfælde sker samtidig eller inden for få dage i forlængelse af fakturaernes datering og udstedelse. Det er SKAT's vurdering, at det ikke er tilfældigt, når flere fakturaer uafhængigt af hinanden i større omfang samles og i gentagne tilfælde betales med samme beløb som f.eks. 137.500 kr. eller 206.250 kr., hvor sidst nævnte beløb svarer til 137.500 kr. med tillæg af præcis 50 %. Det er heller ikke tilfældigt, at det udelukkende er betaling af de fiktive fakturaer, som sker samtidig eller i forlængelse af fakturaernes modtagelse eller datering til en anden konto, end den der står anført på brevlogoet. Det er heller ikke tilfældigt, når der på fakturaerne er anført indhold, som slet ikke er udført af G1-virksomhed (f.eks. nedbrydning, demontering, bortkørsel af byggeaffald mv.).

SKAT er ikke bekendt med, hvorledes overførslerne til IA konkret er blevet anvendt, men på baggrund af bogføringen og pengestrømmene i spillevirksomheden Pitstop og de kontante hævninger på IA's bankkonto, vurderes størstedelen (ca. 85 %) af de samlede indbetalinger for hævet eller ombyttet til kontanter. IA har herom til politiet oplyst, at pengene bl.a. er brugt til spil, lån og at der også er anvendt en betydelig del til at redde G5-virksomhed. Da betalingerne fra H1 til IA er baseret på et fiktivt grundlag, og da betalingerne til IA således heller ikke ses at være sket i H1 interesse, må disse anses for udbetalt som maskeret udbytte, jf. ligningslovens § 16 A, da betalingerne i stedet må anses for sket i aktionærernes (ledelsens) private interesser. Den omstændighed, at IA til politiet har oplyst, at en del af pengene bl.a. er brugt på at redde G5-virksomhed, hvori IA i år 2012-2013 har været tilknyttet som sponsor- og sportschef ændre ikke på vurderingen heraf. Udbetalingerne fra H1 ses således ikke, uanset om pengene måtte være anvendt som oplyst af IA, at være sket som led i afholdelsen af driftsomkostninger i H1. Der kan henvises til Højesterets dom i TfS1999.728, hvoraf fremgår, at det ikke er et krav, at betalingerne er tilgået aktionæren selv, men at udbyttet kan anses for at have passeret aktionærens økonomi ud fra et synspunkt om, at betalingerne i selskabet er sket i aktionærens og ikke i selskabets interesse. Som det fremgår af SKAT's juridiske vejledning afsnit C.B.3.5.2.1 skal spørgsmålet om, hvor vidt en udgift er afholdt i aktionærens interesse vurderes bredt - det er f.eks. i aktionærens interesse, at selskabet får fradrag for udgifter, der ikke er udført i stedet for at udbetale udbytte, som selskabet ikke kan få fradrag for i indkomstopgørelsen.

Det fremgår af SKAT juridiske vejledning 2016 afsnit C.B. 3.1, at udbytte - deklareret såvel som maskeret - fra et selskab som udgangspunkt skal beskattes hos alle aktionærerne i forhold til deres udbytteret. Se LL § 16 A, SKM2010.452.BR, SKM2008.619.ØLR og SKM2006.164.LSR. Undtagelsen er fx tilfælde af maskeret udbytte, hvor en eller flere aktionærer efter en konkret vurdering må anses for at have anfægtet dispositionen, hvilket ikke ses at være sket i nærværende sag. Beskatning af udbytte sker efter retserhvervelsesprincippet, jf. SKAT Juridiske vejledning 2016 afsnit C.B.3.2. Det betyder, at aktionæren skal medtage udbyttet i indkomstopgørelsen, når der er erhvervet endelig ret til udbyttet.

Dette tidspunkt anses i sagen for værende udbetalingstidspunktet fra H1 til IA, jf. SKAT talmæssige opgørelse.

1.5. SKAT's endelige afgørelse

H1's s bemærkninger har ikke givet anledning til at foretage ændringer af den varslede forhøjelse af din aktieindkomst vedrørende spørgsmålet om maskeret udbytte.

Det bemærkes, at der fra selskabets side er afgivet forskellige forklaring overfor SKAT omkring hvilket arbejde der er udført af G1-virksomhed. På mødet den 26.4.2016 blev det oplyst af dig, at G1-virksomhed ikke havde lavet nedbrydningsarbejde, demontering eller kørt med byggeaffald i flyttebilerne til trods for at dette stod på fakturaerne, da medarbejderne fra G1-virksomhed alene ankom helt uden værkstøj og kun udførte flytning af det på fakturaerne anførte materiel. Det blev ligeledes oplyst overfor SKAT, at når der stod bortkørsel af affald var der reelt tale om at affaldet blot var smidt i en container, der i forvejen stod på byggepladsen og som var bestilt og betalt af H1. Disse forklaringer er efterfølgende ændret fra selskabets side til, at det nu fastholdes, at det fakturerede arbejde i det hele er udført af G1-virksomhed i overensstemmelse med fakturaerne.

Den omstændighed at selskabets og din repræsentant efterfølgende har talt med egne byggeformænd, hvoraf nogle til dels kan bekræfte at G1-virksomhed har været til stede i forbindelse med udførelsen af de enkelte projekter og udført arbejdet i henhold til fakturaerne, kan ikke tillægges nogen betydning i sagen, da der for det første ikke er nogen dokumentation, der underbygger dette. For det andet har G1-virksomhed oplyst det stik modsatte nemlig, at ingen af deres medarbejdere har udført det på fakturaerne anførte arbejde, da fakturaerne er fiktive. Der er heller ingen objektive omstændigheder eller indikationer på at arbejdet i stedet skulle være udført af IA selv via en parallelvirksomhed med udleje af mandskab som påstået af H1.

Det fremføres fra H1's side, at der i SKM2008.4 (Højesterets dom) ikke ses at være tale om udbyttebeskatning hos ejerkredsen i den konkrete sag. Hertil kan oplyses, at der i SKM2008.4 ikke blev taget stilling til spørgsmålet om maskeret udbytte, da klagesagen alene angik selskabets egne skatteforhold herunder spørgsmålet om fradragsret. Det fremgår dog af den forudgående dom i samme sag fra Øster Landsret (se SKM2006.57), at udbetalingerne netop af SKAT var blevet anset for udlodning til selskabets anpartshaver, da de udbetalte beløb ikke kunne antages at være relateret til selskabets drift og dermed karakteriseres som en driftsudgift. Der er i bemærkningerne fra H1 oplistet en række udgiftstyper som f.eks. renter, gebyr, bøder mv, der ikke er fradragsberettiget uden at det medfører, at udgiften er afholdt i aktionærens interesse. Disse udgiftstyper kan ikke sammenlignes med H1 betalinger til IA's bankkonto, da grundlaget herfor alene er en række fakturaer som både er anmeldt og oplyst som værende fiktive. SKAT fastholder, at betalingerne fra H1 til IA i sin helhed er baseret på fiktive fakturaer og ikke dækker over indkøb af ydelser til H1, hvorfor betalingerne ikke er sket i H1's interesse, men i ejerkredsens. SKAT ændrer hermed din indkomst i overensstemmelse med SKAT's ændringsforslag af 19.8.2016, jf. SKAT's bemærkninger og begrundelse herfor under punkt 1.4. (…)"

SKAT har den 2. februar 2017 fremsendt følgende høringssvar til klagen:

"(…)

Klagers repræsentant har oplyst, at de afviste fakturaer og betalinger dækker over faktiske leverancer til H1. SKAT har ikke som oplyst i klagen gennemtrawlet samtlige fakturaer fra alle øvrige entreprenører, men har udtaget stikprøver og gennemgået sagsmapper med henblik på at konstaterer, om der i H1 var bilag eller andet der kunne be- eller afkræfte, hvorvidt leverancerne havde fundet sted. Der blev ikke fundet bilag, der underbyggede, at der var sket levering i forhold til de afviste fakturaer fra G1-virksomhed.

Det fremgår af oplysningerne i sagen, at politiet til SKAT har oplyst, at det i sagen er påstand mod påstand. Politiets efterforskning har således ikke som oplyst i klagen vist eller konkluderet noget om, hvor vidt fakturaerne dækker over faktiske leveringer. Den omstændighed, at IA efterfølgende til politirapport ikke har vedstået sig selvanmeldelsen og forklaret, at der er sket levering, skal ses i lyset af, at han samtidig også oplyser i politirapporten, at han ikke kunne bo på Y1-by, såfremt han forklarede sig anderledes.

I klagen oplyses, at der på intet tidspunkt er afgivet divergerende forklaringer fra klagers side. SKAT er ikke enig heri, jf. beskrivelsen side 6 i sagsfremstillingen, hvor selskabets direktør på mødet med SKAT d. 26.4.2016 bl.a. forklarer, at G1-virksomhed ikke havde lavet nedbrydningsarbejde, demontering eller kørt med byggeaffald i flyttebilerne til trods for, at dette stod på fakturaerne, da medarbejderne fra G1-virksomhed alene ankom helt uden værktøj og kun udførte flytning af det på fakturaerne anførte materiel (se mødereferat vedrørende SKAT's resultat af kontrollen). Efter SKAT's fremsendelse af ændringsforslag afholdtes der et møde mellem SKAT og selskabets repræsentant, hvor repræsentanten oplyste, at det nu fastholdes, at der var sket levering af alle de arbejdsydelser, der fremgik af de afviste fakturaer (se mødereferat af 21.09.2016).

Det er heller ikke korrekt, når der i klagen anføres, at SKAT har lagt vægt på en redegørelse fra G1-virksomhed af 18.5.2016 fremfor andre oplysninger i sagen. Når G1-virksomhed d. 18.5.2016 har sendt SKAT en redegørelse om egne interne forhold m.v. er det sket til brug for virksomhedens egen skattesag, og ikke som led i SKAT's kontrol af H1. Tværtimod har SKAT fra start gjort H1 bekendt med anledningen og grundlaget for kontrollen d. 26.4.2016 herunder, at G1-virksomhed havde fastholdt ikke at have leveret de pågældende leverancer til H1. De oplysninger som SKAT særligt har lagt vægt på fremgår i øvrigt af afgørelsen afsnit 1.4 samt sagens bilag, som er sendt til klager.

(…)"

Skattestyrelsen er den 8. juni 2021 fremkommet med følgende bemærkninger til Skatteankestyrelsens udtalelse:

"(…)

Skatteankestyrelsen foreslår, at den påklagede afgørelse truffet af SKAT (nu Skattestyrelsen) stadfæstes.

Vi kan tiltræde forslaget med følgende bemærkninger:

Materielt:

I udtalelse af d.d. har vi tiltrådt Skatteankestyrelsens forslag om stadfæstelse af vores afgørelse til selskabet H1, hvorefter udgifter fratrukket i selskabets indkomstopgørelser for indkomstårene 2011 - 14 med i alt 1.984.475 kr. eksklusiv moms ikke er anerkendt som forretningsmæssigt begrundede i selskabet.

Beløbet udgør inklusiv moms 2.480.594 kr., som vi har anset for at være tilgået eller have passeret økonomien hos selskabets aktionærer og dermed for at være skattepligtigt hos dem i henhold til ligningslovens § 16 A med en andel svarende til deres respektive ejerandele i henhold til princippet fastslået i praksis, fx Østre Landsrets dom gengivet i SKM 2008.619. ØLR.

Vi har herved henvist til SKAT's Juridiske Vejledning 2016, afs. C.B.3.5.2.1, hvoraf det fremgår, at det skal vurderes bredt, hvorvidt en udgift er afholdt i aktionærens interesse, når en udgift ikke kan anses for afholdt i selskabets interesse, og til Højesterets dom gengivet i TfS 1999.728, hvoraf det fremgår, at det ikke alene er tilfælde, hvor aktionæren selv er blevet tilgodeset, der er omfattet af begrebet maskeret udlodning, men at også begunstigelse af formål i hans interesse kan være omfattet.

SKAT har lagt til grund, at de omhandlede beløb er tilgået IA, der i de omhandlede indkomstår var direktør i selskabet G1-virksomhed, men vi er ikke bekendt med begrundelsen herfor, eller hvordan pengene konkret er anvendt. Vi er dog enige i Skatteankestyrelsens henvisning til, at det af forarbejderne til ligningslovens § 16 A og af Østre Landsrets dom, gengivet i SKM 2017.294.ØLR, fremgår, at beskatning hos aktionærerne er udgangspunktet, når udgifter ikke kan anses for at være afholdt i et selskabs interesse.

B ejer 40 procent af aktierne i H1.

Formelt:

Afgørelsen er, for så vidt angår indkomståret 2012 truffet i henhold til skatteforvaltningslovens § 27, stk. 1, nr. 5, om ekstraordinær genoptagelse, idet det er vores opfattelse, at det kan tilregnes klager som mindst groft uagtsomt, at skatteansættelsen er sket på et urigtigt grundlag.

(…)"

Klagerens opfattelse

Klagerens repræsentant har fremsat påstand om, at klagerens aktindkomst tilbageføres for indkomstårene 2012 - 2014.

Til støtte for sin påstand, har repræsentanten anført:

"(…)

Det tidligere anførte over for SKAT fastholdes i sin helhed.

IA har, modsat det af SKAT anførte, bekræftet både over for Politiet og over for undertegnede, at fakturaerne dækker over reelt udført arbejde, og at der har været folk fra G1-virksomhed til stede på de forskellige entrepriser.

Det skete blot ikke i regi af G1-virksomhed, idet han omdirigerede betalingerne til sin egen private konto.

Udgangspunktet er således et strafbart forhold begået af IA for egen vindings skyld.

Jeg medgiver, at det i den forbindelse var et smart træk, at han, da jorden begyndte at brænde under ham, foretog en selvanmeldelse for at redde sin hustru og G1-virksomhed. Et selskab, han ifølge de gængse forlydender fortsat selv reelt ejer og driver.

SKAT har anerkendt, at G1-virksomhed har udført en lang række opgaver for H1 på andre entrepriseprojekter.

SKAT er blevet opfordret til at kontakte de enkelte pladsformænd på de sites, hvor de bestrides, at G1-virksomhed har været til stede, men det har man ikke ønsket.

SKAT har gennemtrawlet samtlige fakturaer fra alle øvrige entreprenører på de omstridte projekter uden at finde en eneste anden leverandør, som i stedet skulle have udført det af G1-virksomhed fakturerede.

Den eneste, som hævder, at der ikke har været folk fra G1-virksomhed til stede på projekterne, er IC.

SKAT angiver hertil, at det er ".. meget usandsynligt, at en virksomhed ikke vil vedstå sig leveringen af en så stor mængde arbejdsydelser som fremgår af fakturaerne i de tilfælde, at levering var sket som påstået af H1." (side 18)

Nej. Det kræver ikke megen fantasi at forstå bevæggrundene herfor, når konsekvensen heraf alternativt var, at G1-virksomhed og IC havde fået nærværende skattesag.

Det er SKAT's opfattelse, at "IA har udskrevet fakturaerne efter aftale med H1 alene med henblik på svig..". (side 18). Denne beskyldning burde man nok have undgået i forlængelse af, at Politiets efterforskning har vist, at hverken klager eller de øvrige virksomheder, IA angav at have faktureret og modtaget betaling fra, har medvirket til IA's gerninger.

Der er på intet tidspunkt afgivet divergerende forklaringer fra klagers side. Det beskrevne i fakturaerne fra G1-virksomhed er efter parternes møde den 26. april 2015 blevet udtrykkeligt bekræftet ved henvendelse til de enkelte pladsformænd, hvilket blev meddelt SKAT, jf. det fremsendte notat.

SKAT har videre anført det som inkriminerende, at H1 fortsatte samarbejdet med G1-virksomhed, efter sagen kom frem. Men det er politiet, der efter afhøring af B opfordrede denne til at fortsætte samarbejdet, da det ifølge den afhørende politiassistent 'jo ikke skulle gå ud over IC, at IA havde begået noget kriminelt'.

Det var først, da det siden kom frem, at IC på vegne af G1-virksomhed undsagde det udførte arbejde for H1, at samarbejdet blev indstillet.

Jeg skal på ny gentage opfordringen til, at man fra SKAT's side fremlægger al den korrespondance, man har haft med G1-virksomhed og IC.

Videre skal jeg gentage opfordringen til, at man fra SKAT's side fremlægger den korrespondance og andre oplysninger, der indgår i de øvrige sager vedrørende andre virksomheder og virksomhedsejere i forlængelse af IA's selvanmeldelse (evt. anonymiseret).

Disse oplysninger er refereret i afgørelserne, uden deres præcise ordlyd kendes, men indgår og lægges desuagtet til grund flere steder i SKAT's afgørelse.

IC er citeret for på G1-virksomhed's vegne af have afgivet en skriftlig redegørelse til sagen, modtaget af SKAT den 18. maj 2016, hvis omstændigheder eller ordlyd ikke kendes. I SKAT's begrundelse er det sågar anført, at der lægges vægt på denne redegørelse frem for andre oplysninger i sagen (side 20). Uden at klager har modtaget eller haft mulighed for at kommentere på indholdet af redegørelsen.

SKAT har refereret de 2 andre virksomhedsejere, som har betalt tilsvarende fakturaer fra G1-virksomhed, for at have bekræftet, at der også i deres sager er sket levering. Men heller ikke denne ordlyd eller omstændighed kendes, og oplysningerne bliver uden yderligere begrundelse affejet af SKAT.

SKAT's afgørelser ses i hovedsagen/udelukkende truffet på baggrund af oplysninger fra IC, som man ikke har forelagt klagerne. Oplysninger, som er- eller kan være meddelt i åbenbar egen interesse. Afgørelserne bør allerede af denne grund ophæves eller opgøres.

For god ordens skyld bemærkes, at ingen af klagerne har udvist forsæt eller grov uagtsomhed ved betalingen af fakturaerne fra G1-virksomhed, der fastholdes som dækkende over reelt leverede ydelser, jf. Politiets vurdering og samtlige andre forklaringer end IC's.

Nærværende skrivelse med bilag er overbragt til Skatteankestyrelsen.

(…)"

Klagerens repræsentant har den 16. februar 2017 fremsendt bemærkninger til SKAT's høringssvar af 2. februar 2017. Af bemærkningerne fremgår følgende:

" (…)

De af SKAT fremsendte indlæg af 2. februar i år giver mig alene anledning til at fastholde det anførte i min klageskrivelse af 4. januar i år.

Det bekræftes således i SKAT's indlæg, at de af IC og IA afgivne oplysninger, der siden er lagt til grund af SKAT i nærværende sag, er afgivet for at undgå en egen skattesag.

SKAT har intet foretaget sig for at kontrollere oplysningernes korrekthed, herunder kontaktet de mange folk (formænd), der gik på pladserne og alle har kunnet bekræfte det massive fremmøde af folk fra G1-virksomhed.

Jeg skal gentage begæringen om, at SKAT fremlægger al korrespondance, man har haft med G1-virksomhed og IC, som kan relateres til nærværende sag, samt al korrespondance og andre oplysninger, der indgår i de øvrige sager vedrørende andre virksomheder og virksomhedsejere i forlængelse af IA's selvanmeldelse. Korrespondancen må i fornødent omfang anonymiseres, men mine klienter har krav på at se, hvad der reelt er lagt til grund for SKAT's afgørelse, og ikke kun SKAT's eget interne referat af disse oplysninger.

(…)"

Klagerens repræsentant er den 19. marts 2021 fremkommet med følgende bemærkninger til Skatteankestyrelsens sagsfremstilling:

"(…)

Det lægges i udkastet til afgørelse til grund, at der ikke er fremlagt dokumentation for, at der reelt er leveret ydelser fra G1-virksomhed til selskabet.

Det er simpelthen ikke korrekt.

De omstridte fakturaer er alle blevet foreholdt de respektive pladsformænd, som har bekræftet, at der på deres byggerier var arbejdsfolk til stede fra G1-virksomhed.

Eftersom der er tale om indlejning af arme og ben, kan folkenes tilstedeværelse næppe bekræftes på anden vis end fra de pågældende formænd, der har været på pladsen og styret arbejdets udførelse.

SKAT har bekræftet, at der vedrørende de pågældende byggerier ikke er fundet fakturaerne fra andre firmaer, som har udført samme arbejde.

Jeg skal henvise til mine tidligere fremsendte skrivelser herom, herunder notatet af 28. september 2016 med angivelse af de enkelte pladsformænds beskrivelse.

Notatet vedlægges hermed på ny.

Oplysningerne om, at der ikke var folk til stede fra G1-virksomhed, hidrører udelukkende fra IC og er ikke bekræftet andet steds fra.

Selv IA, IC's egen mand, har til politiet forklaret, "at der er foretaget flytninger for de ovenstående firmaer og at [han] herefter blot ændrede kontonummeret til sin egen konto" - samt at han på forespørgsel "fastholdt, at der var foretaget flytninger for de angivne fakturaer".

Oplysningerne om, at fakturaerne er 'fiktive', hidrører udelukkende fra IC, som ved at hævde dette har kunnet undgå en egen skattesag.

Som også tidligere anført kan man måske drøfte en eventuel overfakturering på disse byggerier, jf. de runde beløb. Men det er faktuelt forkert at lægge til grund, at der slet ikke er udført arbejde på de pågældende pladser.

Jeg beklager, at ovennævnte er en gentagelse af, hvad der også tidligere er gjort gældende, men Skatteankestyrelsen har i det fremsendte udkast til afgørelse slet ikke forholdt sig hertil.

For så vidt det anførte fra pladsformændene bestrides, eller deres forklaring ønskes uddybet eller afgivet under strafansvar, skal jeg anmode om, at de pågældende indkaldes til at afgive forklaring for Landsskatteretten, subsidiært at der gennemføres en isoleret afhøring af dem gennem retten efter retsplejeloven § 343.

Det kan ikke være korrekt, at oplysninger fra IC, der er meddelt i åbenbar egen interesser, og som jeg fortsat ikke har adgang til, jf. begæringen om aktindsigt nedenfor, uprøvet lægges til grund.

Ad jus

Det fastholdes, at alle betalingerne er sket i selskabets interesse.

I det omfang betalingerne vurderes ikke at være afholdt i selskabets interesse, og heller ikke på andet grundlag er fradragsberettigede, medgives det, at selskabet ikke bevilges fradragsret her- for.

Men det er ikke ensbetydende med, at der i stedet er tale om maskeret udbytte. Sammenblandingen af disse 2 begreber i udkastet til afgørelse er ikke korrekt.

For at kunne beskatte beløbene som maskeret udbytte fordres, at pengene har passeret aktionærernes økonomi eller på anden vis er kommet dem eller deres nærmeste til gode. Det er ubestridt ikke er tilfældet her.

(…)"

Repræsentanten er den 19. juni 2021 fremkommet med følgende bemærkninger til Skattestyrelsens udtalelse af 8. juni 2021 og Skatteankestyrelsens indstilling:

"(…)

Det fremgår af SKAT's bilag 6 (presseklip), at IA var tilknyttet G5-virksomhed som sportschef og som sponsor.

Af SKAT's redegørelser fremgår, at IA har hævet ca. 85 pct. af de samlede beløb i kontanter.

Det må betyde, at der fra G5-virksomhed kan indhentes oplysninger om, hvad IA i perioden officielt har sponsoreret klubben med af midler, ligesom det må være muligt for SKAT at oplyse, hvad de sidste 15 pct. af overførslerne, som ikke er blevet hævet i kontanter, er anvendt til.

Det er alt relevant, eftersom det gøres gældende, at de omstridte udbetalinger ikke har passeret kapitalejernes privatøkonomi eller i øvrigt er anvendt af IA i kapitalejernes interesse.

Som flere gange tidligere anført er mine klienter ikke fodboldinteresserede. Ville de støtte G5-virksomhed, var der blevet indgået en normal og fuldt fradragsberettiget reklame/sponsoraftale.

For så vidt det ikke allerede er sket, skal jeg derfor høfligst anmode SKAT foranledige det nævnte undersøgt.

Jeg skal videre anmode om at modtage dokumentation for anvendelsen af de overførte midler i øvrigt, dvs. en udskrift fra IA's konto nr. X1-bankkonto for hele den relevante periode.

(…)"

Retsmøde i Landsskatteretten

På retsmødet nedlagde repræsentanten påstand om, at klageren ikke skal udbyttebeskattes, da fakturaerne er reelle og dermed afholdt i selskabets interesse, og gennemgik sine anbringender i overensstemmelse med de skriftlige indlæg.

Repræsentanten lagde særligt vægt på, at han havde indhentet forklaringer fra pladsformænd, som havde bekræftet, at G1 havde leveret ydelser. Repræsentanten anførte herefter, at pladsformændenes forklaring dokumenterede, at der var leveret ydelser, særligt vedrørende fakturanr. (red.faktura.nr.4.fjernet), udstedt den 31. maj 2012, samt fakturanr. (red.faktura.nr.21.fjernet) og (red.faktura.nr.22.fjernet), begge udstedt den 7. marts 2014. Repræsentanten henviste til sit notat af 28. september 2016, hvori han har nedskrevet pladsformændenes forklaringer. Udgifterne har dermed, ifølge repræsentanten, været afholdt i selskabets interesse. Det blev endvidere fremhævet, at det var oplyst, at cirka 15 % var tilgået et søsterselskab til G1, hvorfor det var repræsentantens opfattelse, at i hvert fald 15 % af beløbet ikke kunne anses for at have passeret klagerens økonomi.

Skattestyrelsen indstillede i overensstemmelse med tidligere udtalelser, at afgørelsen stadfæstes.

Landsskatterettens afgørelse

Alt, hvad der af selskabet udloddes til aktionærer medregnes som udgangspunkt til den skattepligtige indkomst som udbytte af aktier. Det fremgår af ligningslovens § 16 A, stk. 1, og stk. 2, nr. 1.  

Et økonomisk gode kan anses for at have passeret hovedaktionærens økonomi, selv om godet ikke tilfalder aktionæren personligt, men derimod f.eks. en aktionærs nærtstående. Det fremgår af forarbejderne til ligningslovens § 16 A (Folketingstidende 1999/2000, Tillæg A, spalte 6470-6471) og Højesterets dom af 14. februar 2008, offentliggjort som SKM2008.211.HR. 

Ved enhver udbytteudlodning er det klare udgangspunkt, at delingen sker i forhold til selskabsdeltagernes udbytteret, jf. Højesterets dom af 5. september 1986, offentliggjort som UfR 1986.772 H. Dette gælder dog ikke, hvor en eller flere aktionærer efter en konkret vurdering må anses for at have anfægtet dispositionen, jf. Højesterets dom af 13. januar 2000, offentliggjort som UfR 2000.780 H og Østre Landsrets dom af 24. juni 2008, offentliggjort som SKM2008.619.ØLR. 

SKAT har ændret klagerens aktieindkomst med i alt 992.238 kr., svarende til 40 % af 2.480.594 kr. for indkomstårene 2012 - 2014, idet der i selskabet er nægtet fradrag for i alt 2.480.594 kr. for fakturaer, som er udstedt af G1. SKAT har nægtet fradrag, idet de finder, at der er tale om fiktive fakturaer. SKAT finder desuden, at udgifterne ikke er afholdt i selskabets interesse. På baggrund af dette har SKAT udbyttebeskattet klageren.

Landsskatteretten bemærker ved de afviste fakturaer, at der er faktureret et væsentligt større beløb end på de øvrige godkendte fakturaer, og at der på fakturaerne er anført et andet kontonummer, enten håndskrevet på fakturaen eller påklistret med en gul post-it, end der er anvendt på de øvrige godkendte fakturaer. Retten bemærker derudover, at IA ved en tilståelsessag har modtaget en dom for skatte- og momssvig af særlig grov karakter for at have udstedt fakturaerne. Der er ikke fremlagt dokumentation for, at der reelt er leveret ydelser fra G1 til selskabet. Landsskatteretten finder derfor, at udgifterne ikke kan anses for afholdt i selskabets interesse.

Da der ikke er godkendt fradrag for fakturaerne fra G1, er udgangspunktet, at udgifterne ikke anses for at være afholdt i selskabets interesse, men derimod i aktionærernes interesse, jf. Østre Landsrets dom af 22. marts 2017, offentliggjort i SKM2017.294.ØLR.

Selskabet har i henhold til de afviste fakturaer fratrukket beløbene som en driftsudgift og overført beløbene til IA's personlige konto. Klageren, som var aktionær og sad i selskabets direktion, vidste eller burde have vidst, på baggrund af ovenstående, at fakturaerne var fiktive, og at beløbene blev overført til IA's personlige konto. Under disse omstændigheder finder Landsskatteretten, at det påhviler klageren at godtgøre, at de afholdte udgifter angår selskabet.

Klageren har ikke dokumenteret, at beløbene ikke er betalt med hans accept. Klageren har heller ikke dokumenteret en eventuel forretningsmæssig begrundelse for at fakturabeløbene er overført til IA's private konto. Henset til dette, finder retten, at klageren ikke har løftet bevisbyrden for, at beløbene angår selskabet. Beløbene må derfor anses for at have passeret klagerens økonomi, og beløbene skal som følge heraf beskattes som maskeret udbytte hos klageren.

Landsskatteretten finder, at der ikke er grundlag for at fravige udgangspunktet om, at udbytte fordeles efter udbytteret. Klageren kan derfor alene beskattes forholdsmæssigt af udbyttet i henhold til hans udbytteret, som udgør 40 %. Denne del af udbyttet henføres herefter til beskatning hos klageren, jf. ligningslovens § 16 A, stk. 1, og beskattes som aktieindkomst, personskattelovens § 4a, stk. 1, nr. 2.  

For indkomståret 2012 har SKAT truffet afgørelse uden for den ordinære genoptagelsesfrist, jf. skatteforvaltningslovens § 26, stk. 1. Henset til karakteren af den manglende dokumentation for de foretagne fradrag i selskabet samt omstændighederne omkring fakturaernes betaling, herunder at beløbene på de afviste fakturaer er indbetalt på IA's private kontonummer, der er påskrevet eller påklistreret med en post-it, finder Landsskatteretten, at klageren som medlem af selskabets direktion minimum groft uagtsomt har bevirket, at SKAT har foretaget en urigtig ansættelse, jf. skatteforvaltningslovens § 27, stk. 1, nr. 5.

Den påklagede afgørelse stadfæstes.

…"

Forklaringer

B og vidnerne IG og IE har afgivet forklaring.

B har forklaret blandt andet, at H1 (herefter H1), der blev stiftet i (red.årstal.nr.1.fjernet) af C, er en (red.branchebeskrivelse.nr.2.fjernet). I 2011-2014 ejede B selv 40 % af H1, C ejede 40 %, og A ejede 20 %. A trådte ind i selskabet i 2010. A er for tiden ude at rejse med sin nye familie og havde overset retsmødet i dag. C fik (red.sygdom.nr.2.fjernet) omkring 2009 og var sygemeldt et lille års tid. Han trådte ud af selskabet i marts 2015 og har i dag ikke noget med byggeri at gøre. I dag ejer B 2/3 af selskabet, og A ejer 1/3.

Han kendte ikke IA ret godt. Det var primært C, der kendte IA. A kendte heller ikke IA. IA's firma "G1-virksomhed" (herefter G1-virksomhed) stod for at levere "arme og ben" til tunge op- og nedbæringsopgaver. Det kunne f.eks. være radiatorer, faldstammer, vandrør o.lign, der skulle bæres op og ned ad trapper. I dag benytter H1 primært nedrivningsfirmaer og vikarbureauer til disse opgaver.

Forevist ekstraktens side 206-208, fakturaer, forklarede B, at de opgaver, der fremgår af fakturaerne, er gode eksempler på opgaver, som H1 benytter "arme og ben" til.

Angående betaling og godkendelse af fakturaer forklarede han, at godkenderens initialer fremgår af H1's regnskabsbilag. Dengang foregik godkendelsen manuelt, hvor det i dag er elektronisk. Fakturaerne blev fordelt i et dueslag og blev godkendt inden betaling. Der var ikke post-it sedler på de fakturaer, han fik ind til godkendelse. Han er overbevist om, at H1's bogholder modtog fakturaerne med påsatte post-it sedler, og at hun tog sedlerne af i forbindelse med, at hun behandlede fakturaerne. Hun satte så post-it sedlerne på igen, da fakturaerne skulle sendes til SKAT.

Forevist ekstraktens side 214, faktura med håndskreven tekst "137.500 kr.", forklarede han, at det er hans bogholders håndskrift. Det er hende, der har lagt beløbene sammen.

De får ofte besked pr. mail om, at en leverandør har skiftet bank, eller at betaling skal ske til et andet kontonummer. Han blev først opmærksom på, at beløbene sammenlagt gav i alt 137.500 kr. i forbindelse med sagen. H1's bogholder skulle have fortalt ejerne, at der var noget ved fakturaerne, der så mærkeligt ud. Han så ikke selv sammenhængen, fordi han ikke godkendte alle fakturaer. Han ved ikke, hvordan de skulle have opdaget, at pengene blev indbetalt på IA's konto. Når H1 får oplyst et kontonummer, undersøger bogholderen ikke, hvem der er indehaver af kontoen, medmindre fakturaen virker mistænkelig.

Forevist ekstraktens side 255-256, aktindsigt i kontoudtog, forklarede han, at det er bogholderen, der har noteret fakturanummeret i forbindelse med betalingen, så man kan spore det i regnskabssystemet.

Forevist ekstraktens side 206, faktura, forklarede han, at arbejdet er udført. Nogle af fakturaerne er måske rundet lidt op, da der nok var en vis form for overfakturering. IA var en god mand at kende i (red.branche.nr.2.fjernet). Han havde nogle forbindelser, som kunne hjælpe, hvis man fik problemer. Det fakturerede arbejde er udført, men beløbene er muligvis afrundet en smule. H1 havde ingen interesse i at gå IA på klingen vedrørende beløbene. H1 modtager ca. 700-800 fakturaer om måneden. Fakturaerne i denne sag er ikke usædvanlige. Beskrivelsen af arbejdets omfang er heller ikke usædvanlig. Ofte indgås der mundtlige aftaler, hvorefter folkene instrueres nærmere om opgaverne af formændene på pladsen. Der er stor forskel på, hvordan der sendes regninger afhængig af, hvad det er for en type arbejde, der er udført.

Forevist ekstraktens side 238-239, fakturaer vedr. G7-virksomhed, hvoraf fremgår to aconto betalinger, forklarede han, at der ikke blev lavet nogen slutopgørelse, da entreprisen var tilendebragt. I nogle sager laves der en slutafregning. De fleste ting foregår elektronisk i dag. H1 har også indført kontrol på pladserne. De underentreprenører, der arbejder efter mundtlige aftaler eller timeafregning, skal således kvittere for det antal timer, de har været på pladsen.

Samarbejdet med IA ophørte, fordi var uenighed om nogle betalinger og arbejdets udførelse. Han formoder, at IA aflønnede sine ansatte med sorte penge, men han ved det ikke. Han eller H1 har ikke haft gavn af de betalinger, som er tilgået IA's konto. H1 har nogle sponsorater, og hvis de ville sponsorere en sportsklub, ville de oprette et egentligt sponsorat. Han vidste ikke, at IA også bad andre firmaer om at sætte betalinger vedrørende arbejde udført af G1-virksomhed ind på sin egen konto.

I forbindelse med kontrolbesøget i april 2016 meddelte SKAT, at de ikke havde fundet noget inkriminerende. A og C er ikke blevet afhørt af politiet. Han har ikke selv hørt noget fra politiet siden afhøringen for 8½ år siden.

Forevist ekstraktens side 304, afhøringsrapport, næstsidste afsnit, forklarede han, at han har mødt IA et par gange, og at han ikke kender ham særligt godt. Han kender ikke IA privat.

Forevist samme bilag, side 305, forklarede han, at entrepriseledelsen både dengang og i dag udgøres af ejerne. Han, A og C havde ansvaret for byggesagerne, herunder økonomistyring og deltagelse i byggemøder. På pladserne havde de formænd, der fungerede som deres højre hånd. Som han husker det, blev fakturaerne håndbåret til bogholderen.

Forevist ekstraktens side 404, SKAT's afgørelse af 7. oktober 2016, gentog han, at der ikke var nogen post-its på de fakturaer, som ejerne fik ind til godkendelse. Bogholderen må have taget sedlerne af, inden fakturaerne blev lagt til godkendelse. I forbindelse med, at hun bogførte fakturaerne, må hun have sat sedlerne på igen og taget kopi af fakturaerne med de påsatte sedler til brug for regnskabet.

Forevist ekstraktens side 209, faktura vedr. nedrivning af faldstammer mv., forklarede han, at ordvalget er forkert. G1-virksomhed har ikke udført nedrivningsopgaver.

Adspurgt, hvad H1 har gjort for at få de penge tilbage, som er indbetalt til IA's private konto, forklarede han, at de ikke har gjort noget. De fik jo leveret ydelserne. Der er overfaktureret med mindre end 5 %. De meldte ikke IA til politiet - han meldte jo sig selv.

Forevist ekstraktens side 215-216 og 217-218, fakturaer med post-its, forklarede han, at bogholderen kan have kopieret samme post-it ind på flere forskellige fakturaer, og at det kan være det, der er årsagen til, at sedlerne på fakturaerne ligner hinanden.

IG har forklaret, at han i 2012 var ansat i H1. Han arbejder der ikke længere. Han husker entreprisen vedrørende G8-virksomhed, hvor han var pladsformand og koordinerede arbejdet, folkene og underentreprenørerne. På entreprisen var der folk fra G1-virksomhed, som udførte arbejde. I den periode benyttede H1 også G1-virksomhed på andre entrepriser, og han vidste, hvem de var. De brugte bl.a. G1-virksomhed til at bære radiatorer op og ned ad trapper.

Forevist ekstraktens side 216, faktura, forklarede vidnet, at arbejdet var en del af G8-virksomhed entreprisen. H1 udførte en renoveringsopgave for G8-virksomhed, og bortskaffelse af terrazzoen fra trapperne var en del af det. Der var ikke mulighed for at have en container stående, så G1-virksomhed skulle også bortskaffe byggeaffaldet. Han kunne genkende G1-virksomheds biler. Flytteforretningens navn stod på bilerne. H1 brugte G1-virksomhed, når der var nogle tunge løft. Han er selv murer. Man får ikke murere eller VVS'ere til at slæbe på den måde. Han var ikke inde over de aftaler, der blev indgået vedr. betalingen. Entreprisen varede i et års tid. G1-virksomhed var inde over opgaven med de fire hovedtrapper.

Adspurgt, om det kan passe, at G1-virksomhed var på pladsen i ca. 140 timer, forklarede vidnet, at det godt kan passe, at G1-virksomhed udførte arbejde svarende til ca. 140 timer.

H1 ville skulle hyre andre underleverandører til at udføre arbejdet, hvis G1-virksomhed ikke havde udført det. Han husker entreprisen, selv om det er længe siden, fordi de brugte en speciel lift, og der var en entreprenør, som ikke udførte arbejdet ordentligt, hvilket vidnet påtalte over for C.

Adspurgt om sine arbejdsopgaver forklarede vidnet, at han koordinerede det, der skete på pladsen, men at han ikke havde noget at gøre med at hyre arbejdskraft. Det er helt sædvanligt, at der ikke kommunikeres skriftligt med underentreprenører. Han kommunikerer med de folk, der er på pladsen, hvis der er noget, der er tvivl om. Han har ikke set nogle af de fakturaer, der indgår i sagen.

Forevist ekstraktens side 396, notat, forklarede vidnet, at han kun har udtalt sig om det arbejde, som, han ved, G1-virksomhed har udført. Han ved ikke noget om, hvad der er faktureret for.

IE har forklaret, at han er ansat i H1, hvilket han også var i 2014. G7-virksomhed var en entreprise, hvor H1 stod for udskiftning af vandinstallationer og afløb. Han var pladsformand. En pladsformand står for koordinering af håndværkerne og sørger for, at byggeriet skrider fremad. G1-virksomhed var til stede på entreprisen. De stod for at bære tunge ting, typisk faldstammer. H1 benyttede G1-virksomhed, fordi H1's ansatte ikke selv slæber tunge ting. På entreprisen vedrørende G7-virksomhed skulle de op og ned ad spindeltrapper, hvilket var meget besværligt. Faldstammerør vejer typisk 35-40 kg.

Forevist side 238-239, fakturaer, forklarede vidnet, at beskrivelsen er dækkende for, hvad G1-virksomhed lavede på entreprisen. Han ved ikke, hvad der var aftalt af betaling. Han har intet med økonomien at gøre. Det var 29 opgange med faldstammer fra kælder til 5. sal. Det var en temmelig stor opgave. Entreprisen varede 9-10 måneder.

Adspurgt, om det kan passe, at G1-virksomhed var på pladsen i ca. 150 timer i januar og februar, forklarede vidnet, at det nok er realistisk. Han kan ikke huske det nøjagtige antal timer. Det var tungt arbejde, og hvis G1-virksomhed ikke havde udført arbejdet, havde H1 hyret andre ind. Han kunne se på mandskabets tøj, at de var fra G1-virksomhed. Det stod på tøjet, at de kom derfra. Det er en af de største entrepriser, han har været med på, så han husker den tydeligt.

Han har ikke haft nogen korrespondance med underleverandører. Der findes ikke sms'er vedrørende entreprisen.

Forevist ekstraktens side 397, notat, 6. afsnit, forklarede vidnet, at han ikke har set fakturaerne. Han ved ikke, hvordan han har kunnet udtale sig vedrørende indholdet af fakturaerne. Det kan tænkes, at sagsøgers advokat fortalte ham, hvad der stod i fakturaerne under samtalen.

Parternes synspunkter

H1, A, B og C har i det væsentlige procederet i overensstemmelse med påstandsdokumentet, hvoraf fremgår:

"…

Anbringender

Det gøres gældende, at de omstridte fakturaer dækker over reelle erhvervsmæssige driftsudgifter og dermed fradragsberettigede for H1 efter statsskattelovens § 6, stk. 1, litra a.

H1 har tilsvarende med rette fået refunderet momsen.

Udgifternes berettigede afholdelse er dokumenteret for så vidt angår 292.500 kr. [E396+E216+E238/239].

De øvrige udgifter vil blive tilstrækkelig sandsynliggjort ved partsrepræsentantforklaring.

Uanset om udgifterne ikke eller kun delvist findes fradragsberettiget for H1, så er der ikke tale om maskeret udbytte til ejerkredsen bag.

Det er hverken godtgjort eller sandsynliggjort, at IA's anvendelse af de penge, der (så) er tilgået hans private konto, er sket i ejerkredsens interesse. Tværtimod.

Der er ikke helt- eller delvist fra ejerkredsens side udvist fortsæt eller grov uagtsomhed.

Betingelserne for ekstraordinær skatteansættelse efter skatteforvaltningslovens § 27, stk. 1, nr. 5, jf. § 26, stk. 1 er i alle tilfælde ikke opfyldt, jf. fristen i § 27, stk. 2.

Skats vægring ved at oplyse sagen tilstrækkeligt skal tillægges juridisk og bevismæssig skadevirkning.

…"

Skatteministeriet har i det væsentlige procederet i overensstemmelse med sit påstandsdokument, hvoraf fremgår:

"…

3. Anbringender

3.1 Skatteministeriets overordnede argumentation

H1 har hverken ret til fradrag for købsmomsen på de omtvistede fakturaer (bilag 5) på i alt 496.119 kr. i afgiftsperioden 1. november 2011 - 31. marts 2014, jf. momslovens § 37, eller ret til skattemæssigt fradrag for fakturabeløbene ekskl. moms på i alt 1.984.475 kr. i indkomstårene 2011-2014, idet selskabet ikke har godtgjort, at fakturaerne reelt dækker over leverancer af arbejdsydelser fra G1-virksomhed til brug for driften i H1. Der er en række usædvanlige forhold, som skærper H1's bevisbyrde for, at fakturaerne som hævdet dækker over arbejdsydelser, som faktisk er blevet leveret af G1-virksomhed (nu G1) til brug for driften i H1. Denne bevisbyrde har H1 ikke løftet. Dette anbringende uddybes under pkt. 3.2 nedenfor.

H1 har ubestridt overført beløb til IA svarende til de beløb, som er anført på fakturaerne (bilag 5). Da overførelserne ikke kan anses for at være sket i selskabets interesse, må de anses for at være overført i aktionærernes, A, B og C's, interesse, hvorved beløbene må anses for at have passeret deres økonomi. Beløbene skal derfor anses for maskeret udbytte til A, B og C, således at de hver især beskattes med en andel af de overførte beløb, svarende til deres forholdsmæssige ejerandel i H1, jf. ligningslovens § 16 A, stk. 1, jf. stk. 2, nr. 1. Dette anbringende uddybes under pkt. 3.3 nedenfor.

SKAT var berettiget til at foretage ekstraordinær genoptagelse af sagsøgernes skatteansættelser for indkomstårene 2011-2012 henholdsvis H1's momstilsvar for afgiftsperioden 1. november 2011 - 30. april 2013 efter reglerne i skatteforvaltningslovens § 27 henholdsvis § 32, da sagsøgerne har handlet mindst groft uagtsomt, og da 6-måneders fristen i § 27, stk. 2, henholdsvis § 32, stk. 2, ikke var overskredet, da SKAT sendte sit forslag til afgørelse. Dette anbringende uddybes under afsnit pkt. 3.4 nedenfor.

3.2 H1 har ikke ret til fradrag

En momsregistreret virksomhed kan ved opgørelsen af sit momstilsvar fradrage indgående moms (købsmoms) for virksomhedens indkøb m.v. af varer og ydelser, der er leveret til virksomheden, og som udelukkende er anvendt til brug for virksomhedens levering af momspligtige varer og ydelser, jf. momslovens § 37, stk. 1 og stk. 2, nr. 1, der gennemfører momssystemdirektivets artikel 168. Det er alene afgiften af varer og ydelser, der reelt er leveret til virksomheden, der er fradragsberettiget, jf. også UfR 2019.2102 H og EU-Domstolens praksis.

EU-Domstolen har således fastslået, at fradragsretten for moms efter momssystemdirektivets artikel 168 er knyttet til den faktiske gennemførelse af leveringen af det pågældende gode eller den pågældende tjenesteydelse, jf. bl.a. dommen i de forenede sager C-459/17 og C-460/17, SGI og Valériane, præmis 35 og 36, og dommen i sag C-114/22, W. sp. Z.o.o., præmis 31. Der opstår således ingen fradragsret, når den faktiske gennemførelse af leveringen af godet eller tjenesteydelsen ikke har fundet sted, jf. præmisserne i de nævnte domme.

Endvidere har EU-Domstolen fastslået, at det påhviler den, der anmoder om momsfradrag, at godtgøre, at betingelserne herfor er opfyldt, jf. dommene i de forenede sager C-459/17 og C-460/17, SGI og Valériane, præmis 39, og i sag C664/16, Vadan, præmis 39 og 43-44, og at det i den forbindelse påhviler den pågældende at fremlægge objektive beviser for, at varerne eller tjenesteydelserne faktisk er blevet leveret til den pågældende af andre afgiftspligtige personer i et forudgående led, jf. dommene i sag C-664/16, Vadan, præmis 43-44, og i sag C114/22, W. sp. Z.o.o., præmis 35.

Det fremgår af momsbekendtgørelsen, at den momsregistrerede virksomhed til dokumentation af købsmomsen skal kunne fremlægge fakturaer, jf. § 84 i bekendtgørelse nr. 814/2013 (dagældende). For så vidt angår perioden fra den 1. november 2011 - 30. april 2013 fandtes bestemmelsen i § 58 i bekendtgørelse nr. 663/2006. Af momsbekendtgørelsen fremgår endvidere, at en faktura skal indeholde nogle nærmere angivne oplysninger, herunder bl.a. oplysninger om omfanget og arten af de leverede ydelser samt den dato, hvor levering af ydelserne foretages eller afsluttes, jf. § 61, stk. 1, i bekendtgørelse nr. 814/2013. For så vidt angår perioden fra den 1. november 2011 - 30. april 2013 fandtes bestemmelsen i § 40 i bekendtgørelse nr. 663/2006. Fakturakravene i momsbekendtgørelsen implementerer reglerne i momssystemdirektivets artikel 178 og 226.

Hvad angår spørgsmålet om skattemæssigt fradrag for udgifter, er det en betingelse for at fradrage udgifter efter statsskattelovens § 6, stk. 1, litra a, at de angår virksomhedens drift, og at der således er tale om omkostninger, der i årets løb er anvendt med henblik på at erhverve, sikre eller vedligeholde virksomhedens skattepligtige indkomst, jf. UfR 2017.2960 H.

Det er således en forudsætning for fradrag efter statsskattelovens § 6, stk. 1, litra a, at der er en aktuel driftsmæssig begrundelse for afholdelse af udgiften, og at dispositionen falder inden for virksomhedens hidtidige naturlige rammer. Det betyder samtidig, at privatudgifter ikke kan fratrækkes som driftsomkostninger, jf. statsskattelovens § 6, 2. led. Det afgørende for spørgsmålet om fradragsret er ikke udgiftens art, men formålet med udgiftens afholdelse.

Bevisbyrden for fradragsret påhviler efter fast retspraksis skatteyderen, dvs. i dette tilfælde H1, jf. eksempelvis UfR 2004.1516 H og UfR 2007.1905 H. Endvidere følger det af fast retspraksis, at bevisbyrden skærpes i tilfælde, hvor der foreligger usædvanlige omstændigheder, der kan tale imod, at den skattepligtige har afholdt de hævdede fradragsberettigede udgifter, jf. eksempelvis UfR 2004.1516 H, SKM2009.325.ØLR og SKM2023.419.BR.

Der foreligger en omfattende retspraksis fra danske domstole, som angår, om det er bevist, at en virksomhed har anvendt underleverandører til at udføre arbejde, jf. bl.a. SKM2016.27.ØLR, SKM2017.117.ØLR, SKM2017.461.ØLR, SKM.2019.332.ØLR, SKM2023.213.ØLR samt en lang række byretsdomme, f.eks. SKM2016.9.BR, SKM2017.210.BR, SKM2023.634.BR og SKM2024.95.BR.

Det er i den nævnte retspraksis fastslået, at den afgiftspligtige har bevisbyrden for, at der foreligger reelle leverancer fra tredjemand, og at beviskravet er skærpet, hvis der foreligger usædvanlige omstændigheder, der kan tale imod, at leverancerne har fundet sted. Sådanne usædvanlige omstændigheder kan f.eks. være, at fakturaerne er mangelfulde i forhold til fakturakravene i momsbekendtgørelsen, at der ikke foreligger skriftlige samarbejdsaftaler vedrørende det hævdede samarbejde med underleverandørerne, og at der ikke foreligger timesedler eller anden lignende dokumentation, der kan understøtte, at de hævdede underleverandører faktisk har udført det omhandlede arbejde.

I den foreliggende sag er der en række usædvanlige omstændigheder, som taler for, at de omtvistede fakturaer (bilag 5) er fiktive, hvilket skærper sagsøgernes bevisbyrde for, at fakturaerne reelt dækker over arbejdsydelser leveret af G1-virksomhed til brug for driften i H1, jf. pk. 3.2.1 nedenfor.

3.2.1 Der foreligger usædvanlige omstændigheder, der taler for, at fakturaerne er fiktive

G1-virksomhed's daværende direktør IA indgav ved sin daværende advokat en selvanmeldelse af 8. juli 2015 til Københavns Politi (bilag F).

Af selvanmeldelsen fremgår bl.a. følgende (bilag F, s. 1, første afsnit f):

"IA (…) i årene 2012-2014 på sin konto X1-bankkonto i F1-bank uretmæssigt har modtaget en række beløb hidrørende fra en af ham foretaget fiktiv fakturering i firmaet G1-virksomhed, hvori han indtil for nylig har været anmeldt som direktør.

(…)

Beløbene der er blevet betalt er indgået direkte på IA's personlige konto i F1-bank. Fakturering vedrører ikke ydelser som er foretaget af G1-virksomhed og er således dette firma uvedkommende, såvel vedrørende indtægtsgrundlaget som momsafregningsgrundlaget".

Beløbene i henhold til de omtvistede fakturaer i den foreliggende sag (bilag 5) er - i modsætning til de øvrige fakturaer, som H1 har modtaget fra G1-virksomhed - netop blevet betalt til IA's private bankkonto, jf. nærmere herom nedenfor.

IA vedstod i et telefonopkald til SKAT den 14. september 2015, at "fakturaerne var fiktive" (bilag G).

IA blev den 30. september 2015 afhørt af politiet (bilag 8, s. 2 nederst), hvor han bl.a. oplyste, hvilke virksomheder han havde udstedt de nævnte fakturaer til, hvilket bl.a. omfattede H1.

G1-virksomhed og deres repræsentanter har også på et møde med SKAT den 16. marts 2016 (bilag A, s. 5 fjerdesidste afsnit) bekræftet, at de omhandlede fakturaer (bilag 5) er fiktive. I tilknytning bemærkes, at der, som nævnt i processkrift B, verserer en retssag ved Københavns Byret anlagt af G1-virksomhed (i dag G1) mod Skatteministeriet (rettens sagsnr. BS26. 38193/2021-KBH), hvor selskabet har anfægtet skattemyndighedernes opkrævning hos selskabet af momsen anført på bl.a. de fakturaer, som den foreliggende sag angår (bilag 5). I den nævnte sag anerkender både skattemyndighederne og G1-virksomhed, at fakturaerne er fiktive. Tvisten i sagen angår, om skattemyndighederne med rette har forhøjet G1-virksomhed's momstilsvar med de fakturerede momsbeløb, når det kan konstateres, at fakturaerne er fiktive og dermed ikke dækker over momspligtige transaktioner, som der skal betales moms af.

Det må allerede på baggrund af IA's oplysninger til politiet og til SKAT samt G1-virksomhed's anerkendelse af, at de omtvistede fakturaer (bilag 5) er fiktive, lægges til grund, at fakturaerne er fiktive og således ikke dækker over reelle leverancer af arbejdsydelser. IA's og G1-virksomhed's oplysninger skærper i hvert fald i betydelig grad sagsøgernes bevisbyrde for, at der er realitet bag de omhandlede fakturaer, og denne bevisbyrde har sagsøgerne ikke løftet.

Sagsøgerne har ikke - hverken i forbindelse med SKAT's kontrolbesøg hos H1 den 26. og 27. april 2016 (bilag 1, side 11 til side 13, øverst) eller senere - fremlagt skriftlige aftaler eller korrespondance, der viser, at der mellem H1 og G1-virksomhed, faktisk blev indgået aftaler om udførelse af det hævdede arbejde, herunder om timepriser, fastprisaftaler, afregning for udlæg eller lignende.

Sagsøgerne har heller ikke fremlagt støttebilag eller andre underliggende bilag til fakturaerne, f.eks. arbejdssedler, timesedler, mandskabsopgørelser, korrespondance eller andet lignende materiale, som understøtter, at G1-virksomhed faktisk har udført det i fakturaerne anførte arbejde for H1.

Det gennemgående fravær af skriftligt materiale er påfaldende og udgør i sig selv et objektivt holdepunkt for, at der ikke er realitet bag de omtvistede fakturaer. Især i en situation som den foreliggende, hvor G1-virksomhed's daværende direktør IA har erkendt over for politiet og SKAT, at fakturaerne er fiktive, hvilket efterfølgende også er blevet bekræftet af G1-virksomhed, samt de øvrige usædvanlige omstændigheder, jf. nedenfor, cementerer fraværet af skriftligt materiale den etablerede stærke formodning for, at fakturaerne er fiktive.

Sagsøgerne har forklaret, at skriftligt materiale ikke er udarbejdet, da "alt vedrørende de afviste fakturaer blev aftalt mundligt hovedsageligt med IA fra G1-virksomhed" (bilag 1, side 11, andet afsnit).

Det fremgår imidlertid af en række af de omtvistede fakturaer, at det hævdede arbejde udføres "i flg. Tilbud" eller "iflg. aftale" (eksempelvis bilag 5, side 4 henholdsvis side 6), eller at fakturaen er "inkl. bortkørsel og renovationsafgift i flg bilag" (bilag 5, side 7). Selv i disse tilfælde, hvor fakturaerne synes at henvise til skriftligt materiale, har sagsøgerne ikke fremlagt skriftligt materiale, der dokumenterer, at der er givet tilbud om, endsige indgået en aftale om udførelse af det hævdede arbejde, herunder om arbejdets omfang, udførelse eller vilkårene herfor.

De omtvistede fakturaer (bilag 5) er ifølge sagsøgerne "kendetegnet ved, at den daværende direktør og ejer af G1-virksomhed, IA, havde skrevet sit private kontonummer på fakturaerne i stedet for selskabets, hvorved betalingerne blev ført uden om hans selskab" (min understregning), jf. stævningen side 3, næstsidste afsnit.

Dette er delvist korrekt. IA har klistret Post-it-sedler, hvor hans personlige kontonummer er anført, på alle de omtvistede fakturaer (bilag 5), men kun i ca. 1/3 af tilfældene dækker Post-itsedlen over G1-virksomhed's kontonummer (bilag 5, side 4, 5, 7, 23-25, 27, 29, 30, 34 og 35). Således fremgår både IA's kontonummer og G1-virksomhed's kontonummer på 2/3 af de omhandlede fakturaer. Til trods for, at G1-virksomhed's kontonummer også fremgår af ca. 2/3 af de omhandlede fakturaer, har H1 i alle tilfælde overført fakturabeløbene til IA's private konto uden at sikre sig, at fakturaerne blev betalt med frigørende virkning. Det er i sig selv påfaldende, navnlig da H1 indbetalte til G1-virksomhed's kontonummer i alle de andre tilfælde, hvor H1 modtog fakturaer fra G1-virksomhed, som SKAT har godkendt.

De omtvistede fakturaer (bilag 5) er herudover kendetegnet ved, at de - i modsætning til de af SKAT godkendte fakturaer - ikke er stemplet som "Modtaget" af H1.

De omtvistede fakturaer indeholder desuden ikke nærmere oplysninger om, på hvilke specifikke datoer arbejdet er udført, af hvor mange mand arbejdet blev udført, og hvor lang tid arbejdet tog, eller oplysninger om timepriser. Til illustration kan nævnes fakturanr. (red.faktura.nr.27.fjernet), hvor leveringsstedet er angivet i fakturateksten samt arbejdsbeskrivelsen "Nedbæring af radiator, samt rør hertil, i 49 lejligheder" og antal "1,00" til en pris på 89.595 kr. ekskl. moms. I modsætning hertil indeholder de godkendte fakturaer oplysninger om antal mand og dato samt medgået tid for de leverede arbejdsydelser. En række eksempler på godkendte fakturaer er fremlagt som bilag O. Til illustration af karakteren af de godkendte fakturaer kan nævnes fakturanr. (red.faktura.nr.23.fjernet) (bilag O, s. 2), hvoraf fremgår, at der er anvendt 2,5 stk. til en stykpris på 800 kr., i alt 2.000 kr., og af fakturabeskrivelsen fremgår:

"Diverse flytning og transport fra Y4-adresse, til lager med to mand, d 10 september 2012."

En del af de omtvistede fakturaer indeholder arbejdsbeskrivelser angående nedrivningsarbejde og demonteringsarbejde samt bortskaffelse af byggeaffald mv. (f.eks. bilag, s. 7-12). I forbindelse med SKAT's kontrolbesøg hos H1 den 27. april 2016 foreholdt SKAT ledelsen en oplysning fra G1-virksomhed, om at "de slet ikke udfører den type opgaver", hvortil B forklarede følgende (bilag A, s. 7, tredje afsnit):

"(…) det er korrekt, at der ikke er lavet nedbrydningsarbejde, demontering eller kørt affald bort i flyttebiler, da medarbejderne fra G1-virksomhed alene kom efter aftale helt uden værktøj og kun udførte flytning af det på fakturaerne anførte (f.eks. vand- og afløbsrør, varmvandsbeholdere, vinduer og døre ect)."

H1 har altså i hvert fald på tidspunktet for SKAT's kontrolbesøg erkendt, at G1-virksomhed ikke har udført det arbejde, som er beskrevet i en del af fakturaerne. Ifølge H1 skulle der imidlertid være blevet udført noget andet arbejde end det, der er blevet faktureret for.

De omtvistede fakturaer (bilag 5) er endvidere kendetegnet ved, at de vedrører markant højere beløb end de godkendte fakturaer (bilag O). Hvor det gennemsnitlige fakturabeløb inkl. moms for de godkendte fakturaer udgør 11.081,03 kr., er gennemsnittet for de afviste fakturaer kr. 72.988,05, dvs. mere end seks gange højere.

Det er endvidere ganske påfaldende, at flere af de afviste fakturaer er udstedt samme dag, og at beløbene på fakturaer af samme dato i en række tilfælde samlet beløber sig til nøjagtig 137.500 kr. Dette beløb er desuden på enkelte af de afviste fakturaer skrevet på den samme post-it-seddel, hvor IA har skrevet sit personlige kontonummer (bilag 5, side 10 til side 12).

Tabel 1: Oversigt over fakturaer af samme dato, der til sammen udgør 137.500 kr.

Bilagshenvisning

Fakturadato

Fakturanr.

Beløb ex.

moms

Beløb inkl.

moms

Bilag 5, side 8

26. april 2012

(red.faktura.nr.2.fjernet)

43.160 kr.

53.950 kr.

Bilag 5, side 9

26. april 2012

(red.faktura.nr.3.fjernet)

66.840 kr.

83.550 kr.

I alt

137.500 kr.

Bilag 5, side 12

31. maj 2012

(red.faktura.nr.4.fjernet)

69.000 kr.

86.250 kr.

Bilag 5, side 11

31. maj 2012

(red.faktura.nr.5.fjernet)

24.200 kr.

30.250 kr.

Bilag 5, side 10

31. maj 2012

(red.faktura.nr.6.fjernet)

16.800 kr.

21.000 kr.

I alt

137.500 kr.

Bilag 5, side 14

26. juli 2012

(red.faktura.nr.7.fjernet)

67.000 kr.

83.750 kr.

Bilag 5, side 13

26. juli 2012

(red.faktura.nr.8.fjernet)

43.000 kr.

53.750 kr.

I alt

137.500 kr.

Bilag 5, side 16

6. september 2012

(red.faktura.nr.9.fjernet)

64.000 kr.

80.000 kr.

Bilag 5, side 15

6. september 2012

(red.faktura.nr.10.fjernet)

46.000 kr.

57.500 kr.

I alt

137.500 kr.

Bilag 5, side 17

1. november 2012

(red.faktura.nr.11.fjernet)

62.400 kr.

78.000 kr.

Bilag 5, side 18

1. november 2012

(red.faktura.nr.12.fjernet)

47.600 kr.

59.500 kr.

I alt

137.500 kr.

Bilag 5, side 20

5. december 2012

(red.faktura.nr.24.fjernet)

43.000 kr.

53.750 kr.

Bilag 5, side 19

5. december 2012

(red.faktura.nr.25.fjernet)

67.000 kr.

83.750 kr.

I alt

137.500 kr.

Bilag 5, side 22

27. december 2012

(red.faktura.nr.13.fjernet)

67.000 kr.

83.750 kr.

Bilag 5, side 21

27. december 2012

(red.faktura.nr.14.fjernet)

43.000 kr.

53.750 kr.

I alt

137.500 kr.

Bilag 5, side 24

22. marts 2013

(red.faktura.nr.15.fjernet)

38.000 kr.

9.500 kr.

Bilag 5, side 25

22. marts 2013

(red.faktura.nr.16.fjernet)

44.000 kr.

55.000 kr.

Bilag 5, side 23

22. marts 2013

(red.faktura.nr.17.fjernet)

28.000 kr.

35.000 kr.

I alt

137.500 kr.

Bilag 5, side 26

16. april 2013

(red.faktura.nr.1.fjernet)

110.000 kr.

137.500 kr.

I alt

137.500 kr.

Bilag 5, side 33

28. november 2013

(red.faktura.nr.18.fjernet)

61.200 kr.

76.500 kr.

Bilag 5, side 32

28. november 2013

(red.faktura.nr.19.fjernet)

28.600 kr.

35.750 kr.

Bilag 5, side 31

28. november 2013

(red.faktura.nr.20.fjernet)

20.200 kr.

25.250 kr.

I alt

137.500 kr.

Også omstændighederne vedrørende betalingen af de omtvistede fakturaer adskiller sig fra, hvordan betalingen af de godkendte fakturaer blev håndteret. Under SKAT's kontrolbesøg hos H1 forklarede sagsøgerne følgende om håndteringen af betalingen af de omtvistede fakturaer (bilag 1, side 11, fjerde og femte afsnit):

"Vedrørende punkt 3, blev det oplyst, at langt hovedparten af de afviste fakturaer var afleveret personligt til enten kontoret eller til direktionsmedlemmerne i H1 af IA. Det blev oplyst, at IA ikke var digital. Enkelte fakturaer kunne også være afleveret i postkassen af IA, da han kom forbi i ny og næ og havde kontor tæt på H1. De øvrige fakturaer som ikke var afvist af G1-virksomhed var normalt sendt pr. post /mail.

Vedrørende punkt 4, blev det oplyst, at alle fakturaer skulle attesteres inden betalingen måtte ske.

Betalingen stod bogholderen for. Der blev præciseret, at der ikke måtte ske betaling inden attestation. Attestation var sket af enten C, B og A (direktionen). Omkring betalingerne heraf blev det oplyst, at IA fra G1-virksomhed havde rykket for hurtig betaling af de pågældende fakturaer, hvilket var årsag til at betaling var sket så hurtigt (i mange tilfælde samme dag som udstedelsesdatoen). C eller andre i direktionen godkendte således fakturaen forud for betalingen ved at give instruks til bogholderiet herom, f.eks. fremgår C's underskrift af faktura (red.faktura.nr.26.fjernet) som eksempel herpå. Der er på fakturaerne påsat en post-it mærkat, hvorpå der er anført et andet betalings kontonr. end det, der fremgår af brevlogoet på fakturaerne. Post-it mærkaten er ikke lavet eller påsat af H1, men har været på fakturaen ved modtagelsen." (mine understregninger).

3.2.2 Sagsøgerne har ikke løftet bevisbyrden for, at G1-virksomhed faktisk har leveret de hævdede ydelser

De ovennævnte usædvanlige forhold vedrørende de omtvistede fakturaer (bilag 5) og håndteringen heraf - som adskiller sig fra forholdene vedrørende de godkendte fakturaer (bilag O) - skærper sagsøgernes bevisbyrde for, at fakturaerne dækker over arbejdsydelser, som faktisk er blevet leveret af G1-virksomhed til brug for driften i H1, og denne bevisbyrde har sagsøgerne ikke løftet. Tværtimod må det på baggrund af ovennævnte omstændigheder bevismæssigt lægges til grund, at fakturaerne er fiktive.

Der foreligger ingen dokumentation for, at de afviste fakturaer er udtryk for faktiske leverancer.

Sagsøgerne påberåber sig et notat (bilag 6), som er udarbejdet af sagsøgernes advokat i 2019 til brug for den administrative klagesag, hvor advokaten har refereret samtaler med pladsformænd, som ifølge det af sagsøgerne oplyste var til stede på de entrepriser, hvor G1-virksomhed skulle have udført det hævdede arbejde. Det siger imidlertid sig selv, at et notat udarbejdet af sagsøgernes egen advokat ingen bevisværdi har.

Gengivelsen af pladsformændenes forklaringer i notatet er ikke understøttet af objektive beviser. Der foreligger heller ikke engang dokumentation for, at de to pladsformænd har været tilknyttet de omhandlede entrepriser.

Hertil kommer, at forklaringerne i notatet kun vedrører arbejde omfattet af 3 ud af de 34 omtvistede fakturaer (bilag 5, side 12, 34 og 35), hvorfor de under alle omstændigheder ikke udgør noget bevis for ægtheden af de øvrige 31 fakturaer.

Sagsøgerne har endvidere gjort gældende, at IA ikke har oplyst, " at fakturaerne er fiktive", men at han "tværtimod dokumentérbart [har] forklaret det stik modsatte", jf. stævningen, side 4, ottende afsnit.

Sagsøgerne henviser formentlig herved til, at IA til Københavns Politi den 30. september 2015 forklarede følgende (bilag 8, side 3, fjerde til syvende afsnit):

"Adspurgt om hvordan sigtede lavede fakturaerne, forklarede afhørte, at der er foretaget flytninger for de ovenstående firmaer og at sigtede herefter blot ændrede kontonummeret til sit eget konto. Sigtede kender alle de personer der driver de ovenstående firmaer og sigtede vil ikke kunne bo på Y1-by, såfremt at han forklarede anderledes.

Afhørte blev nu gjort bekendt med, at såfremt at der er tale om reelle flytninger, så vil SKAT kræve penge af flyttefirmaet, mens at såfremt at der er tale om fiktive fakturaer, hvor der ikke er foretaget ydelser, så vil skat højest sandsynligt rette henvendelse til listen over firmaer og kræve moms og skat.

Sigtedes forsvarer ønskede at have en kort samtale med sin klient, inden afhøringen forsættes.

Sigtede fastholdt, at der var foretaget flytninger for de angivne fakturaer." (mine understregninger).

Ovenstående forklaring strider mod, at IA i sin selvanmeldelse af 8. juli 2015 til Københavns Politi oplyste, at der var "foretaget fiktiv fakturering i firmaet G1-virksomhed", og at "Fakturering vedrører ikke ydelser som er foretaget af G1-virksomhed" (bilag F, side 1, første og andet afsnit), hvilke oplysninger han også senere vedstod over for SKAT den 14. september 2015 (bilag G), dvs. blot godt to uger forinden hans ændrede forklaring til politiet den 30. september 2015.

IA's ændrede forklaring strider også mod, at G1-virksomhed som nævnt har anerkendt, at fakturaerne er fiktive, jf. f.eks. SKAT's afgørelse vedrørende H1 (bilag A, s. 5, midtfor).

I mangel af objektiv dokumentation for, at der er indgået aftaler om det hævdede arbejde, eller at dette faktisk er blevet udført, godtgør det forhold, at IA på et senere tidspunkt skifter forklaring vedrørende realiteten bag fakturaerne, ikke, at de afviste fakturaer (bilag 5) dækker over faktiske leverancer, jf. f.eks. UfR 2009.230 H.

IA's efterfølgende forklaring skal desuden ses i lyset af, at han samtidig forklarede, at han "vil ikke kunne bo på Y1-by, såfremt at han forklarede anderledes" (bilag 8, side 3, fjerde afsnit), og at IA desuden ikke ønskede at underskrive forklaringen (bilag 8, side 2, første afsnit).

At IA i en straffesag, der blev behandlet som en tilståelsessag, jf. bilag 9, blev fundet skyldig i en tiltale om, at han drev uregistreret virksomhed, indebærer ikke, at det så uden videre skal lægges til grund i den foreliggende sag, at der var realitet bag de under den foreliggende sag omtvistede fakturaer udstedt af H1. En straffesag er generelt set ikke præjudicerende for rettens bedømmelse i en skattesag, og der foreligger i øvrigt ikke i dette konkrete tilfælde nogen holdepunkter for, at der i forbindelse med rettens bedømmelse i straffesagen blev foretaget en sådan prøvelse af realiteten i de fakturer, som er omtvistet i den foreliggende sag, som skal foretages i skattesagen - og som altså fører til, at der ikke var realitet bag dem.

Det forhold, at SKAT har opkrævet momsen på fakturaerne hos G1-virksomhed, er uden betydning for rettens afgørelse af den foreliggende sag. G1-virksomhed, som ved selskabets daværende direktør har udstedt de omhandlede fakturaer til H1, skal nemlig betale momsen anført på fakturaerne til statskassen, uanset at fakturaerne ikke dækker over faktisk leverede ydelser, men er fiktive.

Det fremgår således af den dagældende momslovs § 46, stk. 5 (senere stk. 6 og nu stk. 7), som gennemfører momssystemdirektivets artikel 203, at betaling af afgift påhviler enhver, der på en faktura anfører afgiftsbeløb eller anden angivelse af, at fakturabeløbet indbefatter afgift. Endvidere følger det momslovens § 52 a, stk. 7, 1. pkt., jf. stk. 6, at afgiftspligtige personer, der ikke er registreret, og afgiftspligtige personer, der leverer ikke afgiftspligtige varer eller ydelser, men som på en faktura anfører afgiftsbeløb eller anden angivelse af, at fakturabeløbet indbefatter afgift, skal indbetale afgiftsbeløbet til told- og skatteforvaltningen. Det følger endvidere af EU-Domstolens dom i sag C-642/11, Stroy Trans, p. 38, 42 og 44, at moms, som en person har anført på en faktura, påhviler denne person uafhængigt af, om der faktisk har fundet en afgiftspligtig transaktion sted. Der kan endvidere henvises til UfR 2019.2102 H.

At skattemyndighederne har opkrævet momsen på fakturaerne hos G1-virksomhed, der har udstedt fakturaen, er således ikke udtryk for, at myndighederne i den sammenhæng har lagt til grund, at fakturaerne dækker over faktisk leverede ydelser og altså ikke er fiktive - tværtimod.

Som nævnt verserer der en retssag ved Københavns Byret anlagt af G1-virksomhed (i dag G1) mod Skatteministeriet (rettens sagsnr. BS-38193/2021-KBH), hvor både skattemyndighederne og G1-virksomhed har anerkendt, at fakturaerne er fiktive. Tvisten i sagen angår ikke, om der faktisk er sket levering af de i fakturaerne angivne ydelser, men derimod om skattemyndighederne med rette har forhøjet G1-virksomhed's momstilsvar med fakturerede momsbeløb, når det kan konstateres, at fakturaerne er fiktive og dermed ikke dækker over momspligtige transaktioner, som der skal betales moms af.

3.3 Beskatning af maskeret udbytte til A, B og C

Af ligningslovens § 16 A, stk. 1, fremgår, at der ved opgørelsen af den skattepligtige indkomst medregnes udbytte af aktier, andelsbeviser og lignende værdipapirer. Af bestemmelsens stk. 2, nr. 1 fremgår, at udgangspunktet er, at der til udbytte henregnes alt, hvad der af selskabet udloddes til aktuelle aktionærer eller andelshavere.

Hvis et selskab har foretaget betalinger, der ikke vedrører selskabets drift, men som må anses for foretaget i aktionærens/anpartshaverens interesse, anses betalingen som maskeret udlodning efter ligningslovens § 16 A.

Der gælder i den forbindelse ikke et krav om, at betalingen skal tilgå vedkommende personligt, jf. eksempelvis TfS 1999,728 H og SKM2008.211.HR samt forarbejderne til ligningslovens § 16 A, hvoraf følgende fremgår, jf. Folketingstidende 1999/2000, tillæg A, spalte 6470-6471:

"Efter reglerne om beskatning af udbytte er det ikke et krav, at det er hovedaktionæren selv, der opnår den økonomiske fordel. Hvis fordelen tilgår andre, så som en af hovedaktionærens nærtstående mv. eller virksomheder hvori hovedaktionæren har personlige interesser, er det i flere afgørelser blevet fastslået, at udbyttet skal anses for at have passeret hovedaktionærens økonomi. Som et eksempel herpå kan nævnes Højesteretsdommen refereret i Tidsskrift for Skatter og Afgifter 1999, 728, hvor et beløb betalt af eneanpartshaverens selskab til en fodboldklub, hvori eneanpartshaveren var ulønnet direktør, ansås som maskeret udlodning til eneanpartshaveren. Afgørelserne bygger på det synspunkt, at det var i aktionærens og ikke i selskabets interesse, at fordelen tilfaldt de berørte."

Det afgørende altså er, at aktionæren/anpartshaveren i kraft af sin indflydelse i det pågældende selskab har forårsaget eller accepteret, at et beløb er trukket ud af selskabet og anvendt til et for selskabet uvedkommende formål.

Det følger af fast retspraksis, at under de foreliggende omstændigheder, hvor A, B og C var direktører og ultimative ejere af H1 (bilag 1, s. 2 øverst), påhviler det dem at godtgøre, at H1's betalinger af de omtvistede fakturaer er foretaget i selskabets interesse, og hvis de ikke løfter denne bevisbyrde, må betalingerne anses for at være foretaget i deres interesse eller med deres accept, med den følge at betalingerne må anses for at have passeret deres økonomi og dermed udgør maskeret udlodning, jf. eksempelvis UfR 2016.3592 H, SKM2024.41.ØLR, SKM2014.69.ØLR, SKM2017.294.ØLR, SKM2017.142.ØLR og SKM2007.719.VLR.

Sagsøgerne gør gældende, at betalingerne af de omtvistede fakturaer (bilag 5) på i alt 2.480.594 kr. fra H1 er sket i selskabets interesse, fordi der er tale om betaling for levering af ydelser fra G1-virksomhed til H1.

Det følger af ovennævnte retspraksis, at det påhviler sagsøgerne at godtgøre, at betalingerne reelt dækker over betaling for ydelser leveret af G1-virksomhed. Som beskrevet under pkt. 3.2 ovenfor foreligger der en række usædvanlige omstændigheder, der skaber en stærk formodning for, at fakturaerne er fiktive, og derfor er sagsøgernes bevisbyrde for, at der er realitet bag fakturaerne, skærpet, jf. også eksempelvis SKM2017.294.ØLR.

Denne skærpede bevisbyrde har sagsøgerne ikke løftet. Tværtimod må det på baggrund af de foreliggende oplysninger og omstændigheder bevismæssigt lægges til grund, at fakturaerne er fiktive. Der henvises til det anførte under pkt. 3.2 ovenfor.

Da fakturaerne er fiktive, følger det som nævnt af fast retspraksis, at betalingerne i hvert fald som udgangspunkt må anses for at være foretaget i A's, B's og C's interesse som ejere af selskabet. Det påhviler i hvert fald dem at føre bevis for, at betalingerne - på trods af at fakturaerne er fiktive - ikke er sket i deres interesse og derfor ikke skal anses for maskeret udlodning til dem.

Fakturabeløbene på de omtvistede fakturaer (bilag 5), i alt 2.480.594 kr., blev som nævnt betalt til IA's konto. Skatteministeriet bestrider som udokumenteret, at IA helt eller delvist skulle have anvendt de modtagne beløb til personlige formål, som er A, B og C uvedkommende, herunder spil, udlån og sponsorater til G5-virksomhed.

Ministeriet er ikke bekendt med, hvad der er sket med de fra H1 til IA betalte beløb, men SKAT vurderede (bilag A, s. 18 nederst og frem), at ca. 85 pct. af beløbene blev "hævet eller ombyttet til kontanter", og der foreligger flere forhold, jf. straks nedenfor, der i hvert fald samlet set gør, at det må påhvile A, B og C at godtgøre, at overførslerne fra H1 ikke er foretaget i deres interesse eller i øvrigt er anvendt af IA med deres accept.

For det første fremgår det af politirapporten om afhøringen af IA (bilag 8, s. 3, andensidste afsnit), at IA forklarede, at han havde kendt ejerne af H1 i "mange år", og at de var "nære bekendte". Det indikerer, at der var en nær relation og en interesseforbindelse mellem ejerne af H1 og IA.

For det andet må det lægges til grund, at A, B og C som direktører og ultimative ejere af H1 i den omhandlede periode (bilag 1, s. 2 øverst) var vidende om, at der blev foretaget betalinger fra H1 af fiktive fakturaer, der både antalsmæssigt og beløbsmæssigt er omfattende (34 fakturaer på i alt 2.480.593,75 kr.) (bilag 1, s. 4, nederst). Dette støttes også af sagsøgernes egen forklaring til SKAT om, at fakturaerne først blev betalt, når de var blevet attesteret af en af ejerne, jf. afsnit 3.2.1 ovenfor. Det må endvidere lægges til grund, at ejerne var bekendt med, at fakturabeløbene blev overført til IA's private bankkonto i stedet for til flytteforretningens bankkonto, jf. også bilag 8, side 3, næstsidste afsnit.

For det tredje foreligger der ikke oplysninger om, at A, B og C har foranlediget H1 til at foretage retslige skridt i anledning af, at selskabet har modtaget og betalt de fiktive fakturaer, herunder ses H1 ikke at have rejst krav over for IA og/eller G1-virksomhed om tilbagebetaling af de uretmæssigt opkrævede fakturabeløb.

I hvert fald under disse omstændigheder har A, B og C ikke godtgjort, at H1's betalinger til IA ikke er foretaget i deres interesse eller er anvendt af IA med deres accept. Betalingerne må dermed anses for skatteretligt at have passeret deres økonomi, og det er derfor med rette, at betalingerne er anset som maskeret udbytte.

Da H1's betalinger af de fiktive fakturaer således må anses for maskeret udbytte til selskabets ultimative aktionærer, A, B og C, har de med rette fået forhøjet deres aktieindkomst hver især med en andel af de betalte beløb, svarende til deres forholdsmæssige ejerandel i selskabet. Maskeret udbytte skal således som det klare udgangspunkt fordeles på aktionærerne svarende til deres ejerandele, jf. eksempelvis SKM2008.619.ØLR. Sagsøgerne har da heller ikke anfægtet fordelingen af det beløb, der må anses som maskeret udbytte, på dem hver især.

3.4 SKAT var berettiget til at genoptage sagsøgerens skatteansættelser og momstilsvar

3.4.1 Indkomstårene 2013 og 2014 samt afgiftsperioderne 1. maj 2013 - 31. marts 2014

Det følger af skatteforvaltningslovens § 26, stk. 1, at told- og skatteforvaltningen ikke kan afsende varsel som nævnt i § 20, stk. 1, om foretagelse eller ændring af en ansættelse af indkomstskat senere end den 1. maj i det fjerde år efter indkomstårets udløb.

Tilsvarende følger det af skatteforvaltningslovens § 31, stk. 1, at told- og skatteforvaltningen ikke kan afsende varsel om fastsættelse eller ændring af afgiftstilsvar senere end 3 år efter angivelsesfristens udløb.

Da SKAT traf afgørelse den 7. oktober 2016, var de ordinære genoptagelsesfrister for indkomstårene 2013 og 2014 endnu ikke udløbet, jf. skatteforvaltningslovens § 26, ligesom den ordinære fastsættelsesfrist for afgiftsperioderne 1. maj 2013 - 31. marts 2014 heller ikke var udløbet, jf. lovens § 31. SKAT var derfor berettiget til at genoptage sagsøgerens skatteansættelser og H1' momstilsvar ordinært.

Sagsøgerne har heller ikke bestridt, at SKAT den 7. oktober 2016 var berettiget til at genoptage sagsøgerens skatteansættelser for indkomstårene 2013 og 2014 og H1's momstilsvar for afgiftsperioderne fra den 1. maj 2013 - 31. marts 2014.

3.4.2 Indkomstårene 2011 og 2012 samt afgiftsperioderne frem til 1. maj 2013

3.4.2.1 Sagsøgerne har handlet mindst groft uagtsomt

Uanset fristerne i § 26 henholdsvis § 31 kan en ansættelse af indkomstskat eller fastsættelse af afgiftstilsvar foretages eller ændres efter told- og skatteforvaltningens bestemmelse, hvis den skattepligtige henholdsvis den afgiftspligtige eller nogen på dennes vegne forsætligt eller groft uagtsomt har bevirket, at skattemyndighederne har foretaget en ansættelse af vedkommendes skattepligtige indkomst henholdsvis afgiftstilsvar på et urigtigt eller ufuldstændigt grundlag, jf. skatteforvaltningslovens § 27, stk. 1, nr. 5, henholdsvis § 32, stk. 1, nr. 3.

Der påhviler sagsøgerne en lovbestemt pligt til at selvangive al moms og indkomst til skattemyndighederne, jf. momslovens § 57, stk. 1, 1. pkt., henholdsvis den dagældende skattekontrollovs § 1, stk. 1 (lovbekendtgørelse nr. 1264 af 31. oktober 2013).

Det må lægges til grund, at H1 har haft kendskab til, at de omtvistede fakturaer er fiktive, jf. det anførte ovenfor under pkt. 3.2.

Tilsvarende må det lægges til grund, at A, B og C i kraft af deres egenskab af ejere af og direktører i H1 samt deres involvering i den konkrete håndtering af de fiktive fakturaer, jf. afsnit 3.2.1 ovenfor, var bekendte med, at fakturaerne var fiktive - eller i hvert fald, at der var en nærliggende risiko herfor - og således, at betalingerne til IA's konto dermed ikke ville ske i H1's interesse.

Idet H1 har selvangivet fradrag for driftsudgifter og købsmoms for de fiktive fakturaer (bilag 5), og idet A, B og C - på trods af deres kendskab til ovennævnte - har undladt at selvangive aktieindkomst svarende til fakturabeløbene, har sagsøgerne mindst groft uagtsomt bevirket, at skattemyndighederne har fastsat afgiftstilsvaret og skatteansættelsen på et urigtigt eller ufuldstændigt grundlag, jf. herved skatteforvaltningslovens § 27, stk. 1, nr. 5, henholdsvis § 32, stk. 1, nr. 3.

3.4.2.2 Fristen i skatteforvaltningslovens § 27, stk. 2, henholdsvis § 32, stk. 2, er overholdt

Det følger af skatteforvaltningslovens § 27, stk. 2, henholdsvis § 32, stk. 2, at en ansættelse kun kan foretages i de i stk. 1 nævnte tilfælde, hvis den varsles af told- og skatteforvaltningen senest 6 måneder efter, at told- og skatteforvaltningen er kommet til kundskab om det forhold, der begrunder fravigelsen af fristerne i § 26 henholdsvis § 31.

Sagsøgerne har gjort gældende, at 6-måneders fristen i skatteforvaltningslovens § 27, stk. 2, 1. pkt., var overskredet, da SKAT sendte forslag til afgørelse til H1 den 8. juni 2016 og til de øvrige sagsøgere den 18. august 2016 henholdsvis den 19. august 2016 (bilag J-M).

H1 har, som anført i svarskriftet, ikke gjort gældende, at SKAT ikke har overholdt fristen i skatteforvaltningslovens § 32, stk. 2, 1. pkt., vedrørende ekstraordinær fastsættelse af momstilsvar. For det tilfælde, at H1 måtte fremsætte anbringende herom, gør Skatteministeriet gældende, at nedenstående tidspunkter også skal lægges til grund for vurderingen af, om SKAT har overholdt fristen i skatteforvaltningslovens § 32, stk. 2, 1. pkt., samt at denne frist - ligesom fristen i skatteforvaltningslovens § 27, stk. 2, 1. pkt. - er overholdt.

Sagsøgerne har ikke tilkendegivet, fra hvilket tidspunkt fristen efter deres opfattelse skal regnes.

Det følger af fast højesteretspraksis, at kundskabstidspunktet er det tidspunkt, hvor skattemyndighederne er kommet i besiddelse af tilstrækkelige oplysninger til, at der forelå grundlag for ekstraordinær ansættelse efter § 27, stk. 1, nr. 5, og § 32, stk. 1, nr. 3, herunder at den foreliggende skatteansættelse/afgiftsansættelse er urigtig eller ufuldstændig, og at dette skyldes groft uagtsomme eller forsætlige forhold hos den skattepligtige/afgiftspligtige eller dennes repræsentant, jf. UfR 2018.3603 H, UfR 2018.3845 H, UfR 2022.820 H og UfR 2023.5413 H.

I sidstnævnte UfR 2023.5413 H, der angik maskeret udbytte af en række hævninger i et selskab foretaget af selskabsejerens ægtefælle, fandt Højesteret, at fristen efter § 27, stk. 2, først løb fra tidspunktet, hvor SKAT kunne lægge til grund, at der ikke ville fremkomme yderligere oplysninger, der kunne belyse, hvad de omhandlede hævninger var anvendt til, og om skatteyderen havde handlet groft uagtsomt eller forsætligt.

Det varsel, der refereres til i skatteforvaltningslovens § 27, stk. 2, er det i lovens § 20, stk. 1, omhandlede varsel. Da varslet er tillagt fristafbrydende virkning, kan det tidspunkt, hvor skattemyndighederne må anses for at være kommet til kundskab om det forhold, der begrunder en fravigelse af fristerne i § 26, ikke indtræffe, førend skattemyndighederne er kommet i besiddelse af de oplysninger, som er nødvendige for, at et varsel med fristafbrydende virkning kan afgives.

Det følger af skatteforvaltningslovens § 20, stk. 1, at såfremt told- og skatteforvaltningen agter at træffe en afgørelse om ansættelse af indkomst- eller ejendomsværdiskat på et andet grundlag end det, der er oplyst told- og skatteforvaltningen efter skattekontrollovens § 2, skal den skattepligtige underrettes om den påtænkte afgørelse.

Skattemyndighederne skal naturligvis ved afsendelse af varsel om forhøjelse af en skatteansættelse overholde både officialprincippet og god forvaltningsskik. Et forhold, som skattemyndighederne har fået kendskab til, og som kan give anledning til en forhøjelse, skal derfor søges oplyst tilstrækkeligt til, at der kan varsles en afgørelse om forhøjelse, der er så korrekt, som det med rimelighed er muligt. Det er UfR 2023.5413 H et illustrativt eksempel på.

I den foreliggende sag modtog SKAT den 1. september 2015 oplysninger fra Københavns Politi om, at IA havde indgivet en selvanmeldelse vedrørende udstedelse af fiktive fakturaer fra G1-virksomhed (bilag 1, side 10, fjerde afsnit).

Oplysningerne i henvendelsen gav ikke i sig selv SKAT tilstrækkeligt grundlag for at fastslå, at der var grund til at forhøje sagsøgernes skattepligtige indkomster og H1's momstilsvar, ligesom SKAT ikke havde tilstrækkeligt grundlag for at fastslå, at der var mulighed for fristgennembrud efter skatteforvaltningslovens § 27, stk. 1, nr. 5, jf. herved Højesterets dom i UfR 2018.3603 H.

SKAT igangsatte derfor yderligere undersøgelser og kontaktede den 1. april 2016 H1 med henblik på at aftale et tidspunkt for et kontrolbesøg.

I brevet, hvor tidspunktet for kontrolbesøget blev bekræftet, har SKAT anført, hvilke oplysninger SKAT ønskede at få under kontrolbesøget (bilag I, side 2). SKAT's referat af kontrolbesøget er gengivet i Landsskatterettens afgørelse vedrørende H1's skattepligtige indkomst (bilag 1, side 9 til side 12, øverst).

Kontrolbesøget blev gennemført den 26. og 27. april 2016 (bilag 1, side 10, ottende afsnit), og det var først i forbindelse med denne kontrol, at SKAT fik tilstrækkelige oplysninger til at vurdere, at der var grundlag for ekstraordinær genoptagelse. Det var således først under kontrollen, at SKAT modtog tilstrækkelige oplysninger til at vurdere, at der som forklaret af IA var tale om fiktive fakturaer, og at sagsøgerne havde handlet mindst groft uagtsomt.

6-månedersfristen i skatteforvaltningslovens § 27, stk. 2, 1. pkt., skal derfor regnes fra afslutningen af kontrolbesøget, den 27. april 2016. SKAT's forslag til afgørelser blev udsendt i perioden den 8. juni til den 18. august 2016. SKAT har dermed overholdt fristen i § 27, stk. 2, 1. pkt., hvorfor SKAT var berettiget til at foretage ekstraordinær genoptagelse som sket.

…"

Rettens begrundelse og resultat

Sagens omstændigheder

Retten lægger som ubestridt til grund, at der i perioden mellem december 2011 og marts 2014 blev overført i alt 2.480.593,75 kr. inkl. moms fra H1, hvor A, B og C ejede henholdsvis 20 %, 40 % og 40 % af aktierne, til IA's private konto i F1-bank. Beløbet blev overført på baggrund af 34 fakturaer, der fremstod som værende udstedt af G1-virksomhed.

Ad H1

Efter Statsskattelovens § 6, stk. 1, litra a, kan udgifter som i årets løb er anvendt til at erhverve, sikre og vedligeholde indkomsten, herunder ordinære afskrivninger, fradrages i den skattepligtige indkomst.

Ved opgørelsen af momstilsvaret som indgående moms kan momsregistrerede virksomheder efter momslovens § 37, stk. 1, jf. stk. 2, nr. 1, fradrage moms for virksomhedens indkøb mv. af varer og ydelser, der er leveret til virksomheden, som udelukkende anvendes til brug for virksomhedens leverancer, og som ikke er fritaget for moms.

Virksomheden har bevisbyrden for, at betingelserne for at få fradrag i indkomsten eller fradrag i selskabets momsgrundlag er opfyldt. Af den dagældende momsbekendtgørelse fremgår, at der som dokumentation skal fremlægges fakturaer, som blandt andet skal indeholde omfanget og arten af de leverede ydelser, den dato, hvor levering af ydelserne blev foretaget eller afsluttet, og afgiftsgrundlag og pris pr. enhed uden afgift.

Fakturaerne, som er omfattet af denne sag, er udstedt af G1-virksomhed og påført post-its med et håndskrevet kontonummer. Fakturaerne indeholder ikke en specifikation af ydelsernes omfang, enhedspriser eller takster og ingen oplysning om den dato, hvor ydelserne er udført eller afsluttet. Der findes ingen opgørelse, som kan dokumentere, at fakturaerne dækker over et reelt timearbejde. Der er ingen kontrakt mellem H1 og G1-virksomhed, som kan dokumentere en aftale om levering af arbejdsydelser, og H1 har ikke nogen dokumentation for et løbende samhandelsforhold, herunder i form af kommunikation om arbejdsopgaver med nogen fra G1-virksomhed, selv om flere fakturaer bærer teksten "ifølge aftale", "ifølge tilbud" og lignende.

Flere af fakturaerne er udstedt samme dato og udgør sammenlagt pr. dag i alt 137.500 kr. inkl. moms.

B har forklaret, at G1-virksomhed har udført det arbejde, der fremgår af fakturaerne, men at der muligvis er sket en mindre overfakturering, hvilket H1 ikke gjorde indsigelse imod, fordi IA var god at kende, når man var beskæftiget inden for (red.branche.nr.2.fjernet).

Vidnerne IG og IE har forklaret, at de i forbindelse med entrepriserne G8-virksomhed og G7-virksomhed observerede G1-virksomhed udføre arbejde på byggepladserne. Ingen af vidnerne har haft noget at gøre med aftaleindgåelse eller fakturabetaling.

IA, der er tidligere direktør i G1-virksomhed, har i sin selvanmeldelse af 8. juli 2015 oplyst, at bl.a. de 34 fakturaer til H1 er fiktive og ikke vedrører ydelser udført af G1-virksomhed. Denne forklaring er senere fragået i forbindelse med en afhøring hos politiet den 30. september 2015, hvor IA forklarede, at der er tale om reelle flytninger, at han blot ændrede kontonummeret til sin egen konto, og at han ikke ville kunne bo på Y1-by, hvis han forklarede anderledes.

Hverken IA eller C, som IA har henvist til som sin kontaktperson i H1, har afgivet forklaring under denne sag.

G1-virksomhed har efter IA's fratræden som direktør fastholdt, at de omhandlede fakturaer er fiktive

Efter en samlet vurdering af de ovennævnte oplysninger har retten ikke grundlag for at tilsidesætte SKAT's afgørelser, hvorefter H1 ikke har løftet bevisbyrden for, at de pågældende fakturaer kan danne grundlag for fradrag i indkomsten eller fradrag i virksomhedens momsgrundlag. Retten har herved lagt vægt på, at B's forklaring om, at fakturaerne dækker over reelle leverancer af arbejdsydelser, ikke er tilstrækkeligt bestyrket af objektive kendsgerninger.

Det forhold, at vidnerne IG og IE har forklaret, at G1-virksomhed befandt sig på byggepladsen og i et ikke nærmere præciseret omfang udførte arbejde på entrepriserne G7-virksomhed og G8-virksomhed, der vedrører en mindre del af de omhandlede fakturaer, kan under de anførte omstændigheder ikke føre til et andet resultat.

Beskatning af maskeret udbytte

Efter ovenstående bevisresultat har H1 ikke fradragsret for nogen af de under denne sag omhandlede udbetalinger. Udgangspunktet er herefter, at de ikke fradragsberettigede betalinger skal anses for maskeret udlodning til de tre aktionærer, medmindre det godtgøres, at betalingerne ikke reelt er tilgået dem eller er afholdt i deres interesse. Under hensyn til det ovenfor anførte er beviskravet herfor skærpet.

Om de penge, der blev overført til hans konto, har IA forklaret til politiet, at han og ejerne af H1 er nære bekendte, og at han brugte pengene på at redde G5-virksomhed, spille i sin egen butik og låne penge ud til bekendte. IA har videre forklaret, at ejerne af de virksomheder, der modtog fakturaerne, var bekendt med, at de satte penge ind på hans konto og ikke på firmaets.

B har forklaret, at han ikke har haft gavn af de betalinger, der er tilgået IA.

Retten finder ikke, at A, B og C alene ved B's forklaring alene har bevist, at beløbene på 496.118 kr., 992.238 kr. og 992.238 kr. ikke har passeret deres økonomi.

I mangel af dokumentation for andet må udgifterne herefter anses for afholdt i aktionærernes interesse, hvorfor A, B og C skal beskattes af maskeret udbytte.

Ekstraordinær genoptagelse for indkomstårene 2011-2012 og afgiftsperioderne frem til den 1. maj 2013

Det følger af skatteforvaltningslovens § 27, stk. 1, nr. 5, og § 32, stk. 1, nr. 3, at en ansættelse af indkomst- eller ejendomsværdiskat og fastsættelse af afgiftstilsvar uanset fristerne i skatteforvaltningslovens § 26 og § 31 kan foretages, hvis den skattepligtige eller nogen på dennes vegne forsætligt eller groft uagtsomt har bevirket, at skattemyndighederne har foretaget en ansættelse på ufuldstændigt grundlag.

På baggrund af de omstændigheder, der har ført til, at udbetalingerne ikke er fradragsberettigede, finder retten, at A, B og C, der alle var aktionærer og medlemmer af direktionen i H1, har udvist i hvert fald mindst grov uagtsomhed ved at foranledige betalinger på et fiktivt grundlag, hvorved de modtog maskeret udbytte. Betingelserne for ekstraordinær genoptagelse er således opfyldt, jf. skatteforvaltningslovens § 27, stk. 1, nr. 5.

Af skatteforvaltningslovens § 27, stk. 2, 1. pkt., jf. stk. 1, nr. 5, og § 32, stk. 2, 1. pkt., fremgår, at en ekstraordinær ansættelse kun kan foretages, hvis den varsles af told- og skatteforvaltningen senest 6 måneder efter, at skatteforvaltningen er kommet til kundskab om det forhold, der begrunder fravigelsen af fristerne i § 26 og § 31.

Efter bevisførelsen lægger retten til grund, at SKAT den 1. september 2015 modtog oplysninger fra Københavns Politi om IA's selvanmeldelse.

Under afhøringen den 30. september 2015 ændrede IA forklaring, og under sin afhøring den 2. november 2015 oplyste B, at der var tale om reelle leverancer af arbejdsydelser. SKAT modtog ifølge sine egne oplysninger afhøringsrapporterne den 12. april 2016.

Den 16. marts 2016 holdt SKAT et møde med G1-virksomhed, der fastholdt, at fakturaerne var fiktive, hvorefter SKAT foretog kontrol hos H1 den 26. og 27. april 2016

Henset til det ovenfor anførte finder retten, at SKAT tidligst ved mødet den 16. marts 2016 kom til kundskab om de forhold, der begrunder fravigelsen af fristerne i skatteforvaltningslovens § 26 og 31, hvorfor varslingerne den 8. juni og 18. og 19. august 2016 er fremsendt rettidigt.

Skatteministeriets frifindelsespåstand tages herefter til følge.

Sagsomkostningerne er efter den ved stævningens indlevering opgjorte sagsværdi samt sagens forløb og udfald fastsat til dækning af advokatudgift med 125.000 kr. Skatteministeriet er ikke momsregistreret.

THI KENDES FOR RET:

Skatteministeriet frifindes.

H1, A, B og C skal til Skatteministeriet inde 14 dage betale sagsomkostninger med 125.000 kr.

Sagsomkostningerne bliver forrentet efter rentelovens § 8 a.